第3章 连续时间信号与系统¶
3.1 概述¶
在本章中,我们将更详细地研究连续时间信号与系统。
3.2 自变量的变换¶
在信号与系统的研究中,一个重要的概念是信号的变换。这里,我们介绍几种基本的信号变换。每一种变换都涉及对自变量的简单修改。
3.2.1 时间平移(移位)¶
我们首先考虑的信号变换称为时间平移。时间平移(也称为移位)将函数 \(x\) 映射为函数 \(y\),其定义为
其中 \(b\) 是实常数。换句话说,函数 \(y\) 是通过在 \(x(t)\) 的表达式中用 \(t-b\) 替换 \(t\) 得到的。从几何上看,变换 (3.1) 将函数 \(x\) 沿时间轴向左或向右平移,从而得到 \(y\)。若 \(b>0\),则 \(y\) 相对于 \(x\) 向右平移(即在时间上延迟);若 \(b<0\),则 \(y\) 相对于 \(x\) 向左平移(即在时间上提前)。
时间平移的效果如图 3.1 所示。通过对图 3.1(a) 所示的函数 \(x\) 应用时间平移变换,可以得到图 3.1(b) 和 (c) 所示的函数。

图 3.1:时间平移的示例。(a) 函数 \(x\);以及对 \(x\) 施加平移变换后,移位 (b) +1 和 (c) -1 的结果。
3.2.2 时间反转(对称)¶
接下来我们考虑的信号变换称为时间反转。时间反转(也称为对称)将函数 \(x\) 映射为函数 \(y\),其定义为
换句话说,函数 \(y\) 是通过在 \(x(t)\) 的表达式中用 \(-t\) 替换 \(t\) 得到的。从几何上看,变换 (3.2) 将函数 \(x\) 关于原点对称,从而得到 \(y\)。
为了说明时间反转的效果,图 3.2 给出了一个示例。将时间反转变换应用于图 3.2(a) 中的函数 \(x\),可以得到图 3.2(b) 中的函数。

图 3.2:时间反转的示例。(a) 函数 \(x\);以及 (b) 对 \(x\) 施加时间反转变换的结果。

图 3.3:时间压缩/扩展的示例。(a) 函数 \(x\);以及对 \(x\) 施加压缩/扩展变换后,缩放因子分别为 (b) 2 和 (c) \(\frac{1}{2}\) 的结果。
3.2.3 时间压缩/扩展(伸缩)¶
接下来要考虑的变换称为时间压缩/扩展。时间压缩/扩展(也称为伸缩)将函数 \(x\) 映射为函数 \(y\),其定义为
其中 \(a\) 是严格正的实常数。换句话说,函数 \(y\) 是通过在 \(x(t)\) 的表达式中用 \(at\) 替换 \(t\) 得到的。常数 \(a\) 称为缩放因子。变换 (3.3) 与沿时间轴的压缩/扩展相关。若 \(a>1\),则 \(y\) 相对于 \(x\) 沿横轴压缩,压缩因子为 \(a\);若 \(a<1\),则 \(y\) 相对于 \(x\) 沿横轴扩展(即拉伸),扩展因子为 \(\frac{1}{a}\)。
时间压缩/扩展的效果如图 3.3 所示。通过对图 3.3(a) 中的函数 \(x\) 应用时间压缩/扩展变换,可以得到图 3.3(b) 和 (c) 所示的函数。
3.2.4 时间缩放(伸缩/对称)¶
另一种信号变换称为时间缩放。时间缩放将函数 \(x\) 映射为函数 \(y\),其定义为
其中 \(a\) 是非零实常数。换句话说,函数 \(y\) 是通过在 \(x(t)\) 的表达式中用 \(at\) 替换 \(t\) 得到的。量 \(a\) 称为缩放因子。从几何角度来看,变换 (3.4) 与沿时间轴的压缩/扩展以及/或者关于原点的对称相关。若 \(|a|<1\),则函数沿时间轴扩展(即拉伸);若 \(|a|>1\),则函数被压缩;若 \(|a|=1\),则函数既不扩展也不压缩。最后,若 \(a<0\),则函数关于原点对称。可以看到,时间缩放同时包含了时间压缩/扩展和时间反转作为特例。

图 3.4:时间缩放的示例。(a) 函数 \(x\);以及对 \(x\) 施加时间缩放变换后,缩放因子为 (b) 2、(c) \(\frac{1}{2}\) 和 (d) -1 的结果。
为了说明时间缩放的作用,图 3.4 给出了一个示例。通过对图 3.4(a) 中的函数 \(x\) 应用时间缩放变换,可以得到图 3.4(b)、(c) 和 (d) 所示的函数。
3.2.5 时间平移与时间缩放的结合¶
在前面的章节中,我们介绍了时间平移和时间缩放两种变换。此外,我们注意到时间缩放包含了时间压缩/扩展和时间反转作为特例。一些自变量变换是可交换的,而另一些则不可交换。交换性的问题在处理涉及组合变换的表达式简化或推导时非常重要。时间缩放、时间反转和时间压缩/扩展运算是可交换的;而时间平移(带非零移位量)与时间缩放、时间反转和时间压缩/扩展运算则不可交换。
现在,我们引入一种更一般的变换,它结合了时间平移与时间缩放的效果。这种新变换将函数 \(x\) 映射为函数 \(y\),其定义为
其中 \(a\) 和 \(b\) 是实常数,且 \(a \neq 0\)。换句话说,函数 \(y\) 是通过在 \(x(t)\) 的表达式中用 \(at-b\) 替换 \(t\) 得到的。可以证明,变换 (3.5) 等价于先将 \(x\) 平移 \(b\),然后对所得函数进行时间缩放 \(a\)。从几何上看,该变换保持了 \(x\) 的形状,仅在时间轴上可能出现扩展/压缩和/或关于原点的对称。若 \(|a|<1\),函数在时间轴上被拉伸;若 \(|a|>1\),函数被压缩;若 \(a<0\),函数关于原点对称。
上述变换有两种不同但等价的解释,即它等价于以下两种方式之一:
- 先将 \(x\) 平移 \(b\),再对结果进行时间缩放 \(a\);
- 先将 \(x\) 缩放 \(a\),再对结果平移 \(\frac{b}{a}\)。

图 3.5:时间平移与时间缩放组合变换的两种不同解释。(a) 原始函数。先平移再缩放的结果:(b) 中间结果,(c) 最终结果。先缩放再平移的结果:(d) 中间结果,(e) 最终结果。
注意到,两种解释中的移位量不同(即 \(b\) 与 \(\frac{b}{a}\))。这是由于时间平移和时间缩放不可交换的事实所导致的。关于上述两种解释等价性的证明留作习题 3.3。
例 3.1 为了说明该组合变换的两种等价解释,我们考虑一个简单的示例。设图 3.5(a) 所示的函数为 \(x\)。我们要求变换后的函数 \(y(t)=x(at-b)\),其中 \(a=2\),\(b=1\)。
解: 首先考虑“先平移后缩放”的方法。在这种情况下,我们先将函数 \(x\) 平移 \(b\)(即 1),得到图 3.5(b) 所示的函数。然后将该新函数按 \(a\)(即 2)缩放,从而得到图 3.5(c) 所示的 \(y\)。其次考虑“先缩放后平移”的方法。在这种情况下,我们先将函数 \(x\) 按 \(a\)(即 2)缩放,得到图 3.5(d) 所示的函数。然后将该新函数平移 \(\frac{b}{a}\)(即 \(\frac{1}{2}\)),从而得到图 3.5(e) 所示的 \(y\)。
3.2.6 关于自变量变换的两种视角¶
自变量的变换可以从以下两个角度来看待:
- 该变换对函数的影响;
- 该变换对横轴的影响。
这种区分很重要,因为此类变换对函数和横轴的作用是相反的。例如,在 \(x(t)\) 的表达式中用 \(t-b\)(其中 \(b\) 是实数)替换 \(t\) 的时间平移变换,可以理解为:
- 将函数 \(x\) 向右平移 \(b\) 个单位;
- 将横轴向左平移 \(b\) 个单位。

图 3.6:幅度平移的示例。(a) 函数 \(x\);以及对 \(x\) 施加幅度平移变换(平移量为 -2)后得到的结果。
在我们对自变量变换的研究中,我们只关注变换对函数的影响。如果不注意这一点,而是从坐标轴的角度来理解,那么关于自变量变换的许多方面将会变得难以理解。
3.3 因变量的变换¶
在前面的章节中,我们研究了若干自变量的变换。现在,我们来考虑一些因变量的变换。
3.3.1 幅度平移¶
我们首先考虑的变换称为幅度平移。幅度平移将函数 \(x\) 映射为函数 \(y\),其定义为
其中 \(b\) 是一个标量常数。从几何上看,函数 \(y\) 相对于 \(x\) 在竖直方向上发生位移。若 \(b>0\),则 \(y\) 相对于 \(x\) 向上平移 \(|b|\);若 \(b<0\),则 \(y\) 相对于 \(x\) 向下平移 \(|b|\)。
幅度平移的效果如图 3.6 所示。图 3.6(b) 中的函数可以通过对图 3.6(a) 所示的函数 \(x\) 施加幅度平移变换得到。
3.3.2 幅度缩放¶
接下来我们考虑的变换称为幅度缩放。幅度缩放将函数 \(x\) 映射为函数 \(y\),其定义为
其中 \(a\) 是一个标量常数。从几何上看,函数 \(y\) 相对于 \(x\) 在幅度上被放大/压缩,和/或关于横轴对称。
为了说明幅度缩放的效果,图 3.7 给出了一个示例。通过对图 3.7(a) 中的函数 \(x\) 施加幅度缩放变换,可以得到图 3.7(b)、(c) 和 (d) 所示的函数。

图 3.7:幅度缩放的示例。(a) 函数 \(x\);以及对 \(x\) 施加幅度缩放变换后,缩放因子为 (b) 2、(c) \(\frac{1}{2}\) 和 (d) -2 的结果。
3.3.3 幅度平移与缩放的结合¶
在前面的章节中,我们分别讨论了幅度平移与幅度缩放两种变换。我们可以定义一种新的变换,它结合了幅度平移与幅度缩放的效果。该变换将函数 \(x\) 映射为函数 \(y\),其定义为
其中 \(a\) 和 \(b\) 是标量常数。可以证明,这一变换等价于先将 \(x\) 按 \(a\) 缩放,然后将所得函数平移 \(b\)。此外,由于 (3.6) 可以改写为$$ y(t)=a\left[x(t)+\frac{b}{a}\right],$$因此,该变换也等价于先将 \(x\) 平移 \(\frac{b}{a}\),再将所得函数按 \(a\) 缩放。
3.4 函数的性质¶
函数可能具有许多有趣的性质。接下来,我们将更详细地研究对称性与周期性(前面已介绍过)。此外,我们还将介绍若干其他函数性质。这些性质在信号与系统的分析中非常有用。
3.4.1 关于对称性的说明¶
在此我们对偶函数与奇函数(已在前面介绍过)作一些补充说明。由于函数常常需要相加或相乘,人们可能会关心这些运算下函数的偶/奇对称性会发生什么变化。下面给出一些相关结论。
偶函数与奇函数的和具有以下性质:
- 两个偶函数的和仍为偶函数;
- 两个奇函数的和仍为奇函数;
- 一个偶函数与一个奇函数的和既不是偶函数也不是奇函数,前提是这两个函数不恒为零。
偶函数与奇函数的积具有以下性质:
- 两个偶函数的积为偶函数;
- 两个奇函数的积为偶函数;
- 一个偶函数与一个奇函数的积为奇函数。
(上述关于和与积的性质的证明,留作习题 3.10。)
事实证明,任意函数都可以表示为一个偶函数与一个奇函数的和,如下面的定理所述。
定理 3.1 (函数的偶/奇分解)
任意函数 \(x\) 都可以唯一地表示为如下形式的和:
其中 \(x_{\mathrm{e}}\) 和 \(x_{\mathrm{o}}\) 分别为偶函数与奇函数,并由下式给出:
在术语上,\(x_{\mathrm{e}}\) 称为 \(x\) 的偶部,记作 \(\operatorname{Even}\{x\}\);\(x_{\mathrm{o}}\) 称为 \(x\) 的奇部,记作 \(\operatorname{Odd}\{x\}\)。
证明。 根据 (3.8) 与 (3.9),我们容易验证 \(x_{\mathrm{e}}+x_{\mathrm{o}}=x\),如下所示:
此外,我们可以容易验证 \(x_{\mathrm{e}}\) 是偶函数,而 \(x_{\mathrm{o}}\) 是奇函数。由 (3.8) 中 \(x_{\mathrm{e}}\) 的定义可得:
因此,\(x_{\mathrm{e}}\) 是偶函数。由 (3.9) 中 \(x_{\mathrm{o}}\) 的定义可得:
因此,\(x_{\mathrm{o}}\) 是奇函数。
最后,我们证明 \(x\) 分解为偶函数与奇函数之和是唯一的。假设 \(x\) 可以用两种方式写作偶函数与奇函数之和:
其中 \(f_{\mathrm{e}}\) 与 \(g_{\mathrm{e}}\) 为偶函数,\(f_{\mathrm{o}}\) 与 \(g_{\mathrm{o}}\) 为奇函数。将两式相等得:
整理得:
仔细观察上式。由于偶函数之差仍为偶函数,奇函数之差仍为奇函数,所以该式左右两边分别对应偶函数与奇函数。因此,偶函数 \(f_{\mathrm{e}}(t)-g_{\mathrm{e}}(t)\) 等于奇函数 \(g_{\mathrm{o}}(t)-f_{\mathrm{o}}(t)\)。然而,唯一既是偶函数又是奇函数的函数是零函数。(对此事实的证明留作习题 3.16。)因此有:
换言之:
这说明 (3.10a) 与 (3.10b) 所给出的 \(x\) 的两种分解实际上是相同的(即它们不能不同)。因此,\(x\) 分解为偶函数与奇函数之和是唯一的。
3.4.2 关于周期性的说明¶
由于我们经常需要对函数进行相加操作,因此了解周期函数的和是否仍然是周期函数是有帮助的。接下来我们将讨论这一问题,但在此之前,我们需要先引入最小公倍数的概念。
两个严格正实数 \(a_{1}\) 和 \(a_{2}\) 的最小公倍数(记作 \(\operatorname{lcm}(a_{1}, a_{2})\))是既是 \(a_{1}\) 又是 \(a_{2}\) 的整数倍的最小正实数。例如,\(\operatorname{lcm}(6\pi, 10\pi)=30\pi\),因为 \(30\pi\) 是可以被 \(6\pi\) 和 \(10\pi\) 整除的最小正实数。更一般地,正实数集合 \(\{a_{1}, a_{2}, \ldots, a_{N}\}\) 的最小公倍数,记作 \(\operatorname{lcm}\{a_{1}, a_{2}, \ldots, a_{N}\}\),是每个 \(a_{k}(k=1,2,\ldots,N)\) 的整数倍的最小正实数。
引入最小公倍数的概念后,我们就可以讨论两个周期函数的和是否仍然是周期函数。下面的定理对此有重要启示。
定理 3.2 (周期函数的和)
设 \(x_{1}\) 和 \(x_{2}\) 是两个(连续的)周期函数,其周期分别为 \(T_{1}\) 和 \(T_{2}\)。则 \(x=x_{1}+x_{2}\) 是周期函数,当且仅当比值 \(T_{1}/T_{2}\) 是有理数(即两个整数的商)。若 \(x\) 是周期函数,且 \(T_{1}/T_{2}=q/r\),其中 \(q\) 和 \(r\) 是互素整数,则 \(x\) 的周期 $
T=\operatorname{lcm}(T_{1},T_{2})=rT_{1}=qT_{2}. $
证明。 我们仅给出部分证明。假设 \(x\) 是周期函数,需证明它的周期为 \(T\)。由于 \(x\) 是周期函数,所以 \(T=\operatorname{lcm}(T_{1},T_{2})\) 必然存在。因为 \(T\) 是 \(T_{1}\) 和 \(T_{2}\) 的整数倍,所以可写作 \(T=k_{1}T_{1}=k_{2}T_{2}\),其中 \(k_{1}\) 和 \(k_{2}\) 为正整数。于是有
因此,\(x\) 是周期为 \(T\) 的周期函数。
顺带提及,上述结果可以推广到 \(N\) 个周期函数的情形。若 \(N\) 个周期函数 \(x_{1},x_{2},\ldots,x_{N}\) 的周期分别为 \(T_{1},T_{2},\ldots,T_{N}\),则它们的和是周期函数,当且仅当各周期的比值为有理数(即 \(T_{1}/T_{k}\) 对 \(k=2,3,\ldots,N\) 都是有理数)。若和函数是周期函数,则其基波周期为 $ \operatorname{lcm}{T_{1},T_{2},\ldots,T_{N}}. $
例 3.2. 设 \(x_{1}(t)=\sin(\pi t)\),\(x_{2}(t)=\sin t\)。判断 \(y=x_{1}+x_{2}\) 是否为周期函数。
解。 设 \(x_{1}\) 和 \(x_{2}\) 的基波周期分别为 \(T_{1}\) 和 \(T_{2}\)。则有
这里用到了 \(\sin(\alpha t)\) 的基波周期为 \(\frac{2\pi}{|\alpha|}\) 的事实。因此
由于 \(\pi\) 是无理数,\(\frac{T_{1}}{T_{2}}\) 不是有理数。因此,\(y\) 不是周期函数。
例 3.3. 设 \(x_{1}(t)=\cos\left(2\pi t+\frac{\pi}{4}\right)\),\(x_{2}(t)=\sin(7\pi t)\)。判断 \(y=x_{1}+x_{2}\) 是否为周期函数,若是,求其基波周期。
解。 设 \(x_{1}\) 和 \(x_{2}\) 的基波周期分别为 \(T_{1}\) 和 \(T_{2}\)。则有
取比值得
由于 \(\frac{T_{1}}{T_{2}}\) 是有理数,\(y\) 是周期函数。设 \(T\) 为 \(y\) 的基波周期。由于 7 与 2 互素,
例 3.4. 设 \(x_{1}(t)=\cos(6\pi t)\),\(x_{2}(t)=\sin(30\pi t)\)。判断 \(y=x_{1}+x_{2}\) 是否为周期函数,若是,求其基波周期。
解。 设 \(x_{1}\) 和 \(x_{2}\) 的基波周期分别为 \(T_{1}\) 和 \(T_{2}\)。则有
因此
由于 \(\frac{T_{1}}{T_{2}}\) 是有理数,\(y\) 是周期函数。设 \(T\) 为 \(y\) 的基波周期。由于 5 与 1 互素,有
3.4.3 函数的支集(Support)¶
我们可以根据函数在何种区间上取非零值来对其进行分类。这通常被称为函数的支集(support)。下面介绍一些与函数支集相关的术语。
若存在某个(有限的)实常数 \(t_{0}\),使得
则称函数 \(x\) 为左边函数(left sided)。换句话说,在某一点的右侧,函数恒为零。
若存在某个(有限的)实常数 \(t_{0}\),使得
则称函数 \(x\) 为右边函数(right sided)。换句话说,在某一点的左侧,函数恒为零。
一个函数如果既是左边函数又是右边函数,则称为时限函数(time limited 或 finite duration)。如果一个函数既不是左边函数也不是右边函数,则称为双边函数(two sided)。注意,每个函数都恰好属于以下四类之一:左边但非右边,右边但非左边,时限,或双边。图 3.8 展示了这四类函数的示例。
若函数 \(x\) 满足
则称 \(x\) 为因果函数(causal function)。因果函数是右边函数的一种特殊情况。类似地,若函数 \(x\) 满足
则称 \(x\) 为反因果函数(anticausal function)。反因果函数是左边函数的一种特殊情况。
需要注意的是,当“因果(causal)”和“反因果(anticausal)”用来描述函数时,它们与通常的因果关系(cause and effect)没有任何联系。从这个角度看,这样的命名或许并不是最恰当的。

图 3.8:具有不同边界性质的函数示例。(a) 左边但非右边,(b) 右边但非左边,(c) 时限,(d) 双边。
3.4.4 有界函数¶
若存在某个(有限的)非负实常数 \(A\),使得
则称函数 \(x\) 为有界函数(bounded function)(即 \(x(t)\) 对所有 \(t\) 都是有限的)。例如,正弦函数和余弦函数是有界的,因为
相比之下,正切函数以及任何非常数多项式函数 \(p\)(例如 \(p(t)=t^2\))是无界函数(unbounded),因为
3.4.5 信号的能量与功率¶
函数 \(x\) 所含的能量 \(E\) 定义为
在术语上,若函数 \(x\) 的能量有限,则称其为能量信号(energy signal)。
函数 \(x\) 所含的平均功率 \(P\) 定义为
在术语上,若函数 \(x\) 的平均功率有限且非零,则称其为功率信号(power signal)。
3.4.6 示例¶
下面给出几个使用信号性质的示例。
例 3.5. 设函数 \(x\) 具有如下性质:
求 \(x(t)\) 必须为零的 \(t\) 值。
解。 由于 \(v\) 是因果函数,我们知道 \(v(t)=0\) 对所有 \(t<0\) 成立。因为 \(v(t)=x(t-3)\),所以
由于 \(x\) 是奇函数,我们有
由 (3.11) 和 (3.12) 得到 \(-x(-t)=0\) 对 \(t<-3\) 成立,从而
将 \(t=0\) 代入 (3.12) 得 \(x(0)=-x(0)\),因此
结合 (3.11)、(3.13) 和 (3.14),我们得出 \(x(t)\) 必须为零的 \(t\) 值为
例 3.6. 考虑函数 \(x\) 具有如下性质:
- \(x(t)=t+5\) 对 \(-5 \le t \le -3\);
- \(v_1(t)=x(t-5)\) 是因果的;
- \(v_2(t)=x(t-3)\) 是偶函数。
求 \(x(t)\) 对所有 \(t\) 的表达式。
解。 由于 \(v_1(t)=x(t-5)\) 是因果函数,有
结合 \(x(t)=t+5\) 对 \(-5 \le t \le -3\),得到
接下来只需确定 \(t>-3\) 时的 \(x(t)\)。由于 \(v_2(t)=x(t-3)\) 是偶函数,有
结合 (3.15),得到
因此,我们得到 \(x(t)\) 的完整表达式为
图 3.9 给出了 \(x\) 的示意图。

图 3.9:例 3.6 中的函数 \(x\)。
3.5 基本函数¶
在信号与系统的研究中,有一些基本信号特别有用。以下内容将介绍其中对我们目的最有益的一些。
3.5.1 实正弦函数¶
一个重要的函数类是实正弦函数。实正弦函数 \(x\) 的一般形式为
其中 \(A, \omega\) 和 \(\theta\) 为实常数。此类函数是周期性的,其基本周期为 \(T=\frac{2 \pi}{|\omega|}\),其图像类似于图 3.10 所示。

图 3.10:实正弦函数。
3.5.2 复指数函数¶
另一个重要的函数类是复指数函数。复指数函数 \(x\) 的一般形式为
其中 \(A\) 和 \(\lambda\) 为复常数。复指数函数在系统理论中具有基础性的重要性,同时也为表示许多其他类函数提供了方便的手段。复指数函数可以根据其参数 \(A\) 和 \(\lambda\) 的取值表现出多种不同的行为模式。以下内容将探讨复指数函数的一些特殊情况,以及一般情况。
3.5.2.1 实指数函数¶
首先考虑复指数函数的一个特殊情况——实指数函数。在实指数函数的情况下,我们将式 (3.16) 中的 \(A\) 和 \(\lambda\) 限制为实数。实指数函数可以根据 \(\lambda\) 的取值表现出三种不同的行为模式,如图 3.11 所示。如果 \(\lambda>0\),则 \(x(t)\) 随着 \(t\) 的增加呈指数增长(即增长型指数函数)。如果 \(\lambda<0\),则 \(x(t)\) 随着 \(t\) 的增加呈指数衰减(即衰减型或阻尼型指数函数)。如果 \(\lambda=0\),则 \(x(t)\) 在所有 \(t\) 上恒等于常数 \(A\)。

图 3.11:实指数函数的情况 (a) \(\lambda>0\),(b) \(\lambda=0\),以及 (c) \(\lambda<0\)。
3.5.2.2 复正弦函数¶
复指数函数的第二个特殊情况是复正弦函数。在复正弦函数的情况下,式 (3.16) 中的参数满足 \(A\) 为复数且 \(\lambda\) 为纯虚数(即 \(\operatorname{Re}(\lambda)=0\))。为了方便,我们将 \(A\) 用极坐标形式表示,将 \(\lambda\) 用笛卡尔形式表示如下:
其中 \(\theta\) 和 \(\omega\) 为实常数。利用欧拉公式 (A.4),我们可以将 (3.16) 重写为
从上述公式可以看出,\(x\) 的实部和虚部都是周期性的,其基本周期为 \(\frac{2 \pi}{|\omega|}\)。进一步,由此我们可以推导出 \(x\) 本身也是周期性的,其基本周期同样为 \(\frac{2 \pi}{|\omega|}\)。为了说明复正弦函数的形式,我们在图 3.12 中绘制了其实部和虚部。实部和虚部除了相位差外是相同的。
复正弦函数 \(x(t)=e^{j \omega t}\) 在 \(\omega\) 分别取 \(2 \pi\) 和 \(-2 \pi\) 时的图像如图 3.13(a) 和 (b) 所示。从这些图中可以看出,随着 \(t\) 增加,\(x(t)\) 描绘的曲线呈螺旋状。如果沿着 \(t\) 轴方向向 \(-\infty\) 直视该曲线,当 \(\omega>0\) 时螺旋呈逆时针方向(即右手螺旋),当 \(\omega<0\) 时螺旋呈顺时针方向(即左手螺旋)。注意,虽然这两种复正弦函数的振荡速率相同,但它们并不是通过平移(即时间平移)或反射(即时间反转)得到的版本。左手螺旋和右手螺旋在本质上是不同的形状,一个无法通过平移和/或反射变为另一个。
如图 3.13 所示,复正弦函数 \(x(t)=e^{j \omega t}\) 在 \(\omega>0\) 和 \(\omega<0\) 时的行为本质上不同。因此,在处理复正弦函数时,通常使用带符号的频率(如前文第 2.10.2 节所介绍)。也就是说,我们通常将 \(\omega\) 称为复正弦函数的频率。这是带符号频率的一个应用实例(因为 \(\omega\) 显然是带符号的量)。旋转的正方向(即 \(\omega>0\))对应右手螺旋,而旋转的负方向(即 \(\omega<0\))对应左手螺旋。

图 3.12:复正弦函数。(a) 实部和 (b) 虚部。

图 3.13:复正弦函数 \(x(t)=e^{j \omega t}\),(a) \(\omega=2 \pi\),(b) \(\omega=-2 \pi\)。
3.5.2.3 一般复指数函数¶
最后,我们考虑一般复指数函数。也就是说,我们考虑式 (3.16) 的一般情况,其中 \(A\) 和 \(\lambda\) 都是复数。为了方便,我们将 \(A\) 用极坐标形式表示,将 \(\lambda\) 用笛卡尔形式表示如下:
其中 \(\theta, \sigma\) 和 \(\omega\) 为实常数。将 \(A\) 和 \(\lambda\) 的表达式代入式 (3.16),得到
可以看到,\(\operatorname{Re}[x(t)]\) 和 \(\operatorname{Im}[x(t)]\) 形式相似。它们都是实指数函数与实正弦函数的乘积。根据 \(\sigma\) 的取值,\(x\) 会表现出三种不同的行为模式。如果 \(\sigma=0\),\(\operatorname{Re}(x)\) 和 \(\operatorname{Im}(x)\) 是实正弦函数。如果 \(\sigma>0\),\(\operatorname{Re}(x)\) 和 \(\operatorname{Im}(x)\) 都是实正弦函数与增长型实指数函数的乘积。如果 \(\sigma<0\),\(\operatorname{Re}(x)\) 和 \(\operatorname{Im}(x)\) 都是实正弦函数与衰减型实指数函数的乘积。图 3.14 展示了 \(\operatorname{Re}(x)\) 的这三种情况。

图 3.14:一般复指数函数的实部,(a) \(\sigma>0\),(b) \(\sigma=0\),(c) \(\sigma<0\)。
3.5.3 复指数函数与实正弦函数的关系¶
实正弦函数可以利用以下恒等式表示为两个复正弦函数的和:
该结果源自欧拉公式,本质上是对 (A.8) 的重述。
3.5.4 单位阶跃函数¶
在系统理论中,另一个常用的基本函数是单位阶跃函数。单位阶跃函数(也称为 Heaviside 函数)记作 \(u\),定义为
该函数的图像如图 3.15 所示。显然,\(u\) 在原点处是不连续的。在这个不连续点,我们选择将 \(u\) 定义为 1(即 \(u(0)=1\))。然而,这一选择在某种程度上是任意的。也就是说,对于大多数实际应用,由于本书未涉及的技术原因,重要的是 \(u(0)\) 是有限的,而不是其具体取值。因此,一些作者选择将 \(u(0)\) 保留为未指定(但有限)的常数,而其他作者则选择为 \(u(0)\) 赋予具体值。在选择具体值的情况下,最常用的值为 \(0, \frac{1}{2}\) 和 \(1\)。显然,在本书中,作者选择使用 \(u(0)=1\)。

图 3.15:单位阶跃函数。
3.5.5 符号函数¶
另一个与单位阶跃函数密切相关的函数是所谓的符号函数。符号函数记作 sgn,定义为
该函数的图像如图 3.16 所示。从 (3.19) 可以看出,符号函数仅用于计算一个数的符号。

图 3.16:符号函数。
3.5.6 矩形函数¶
另一个有用的函数是矩形函数。矩形函数(也称为单位矩形脉冲函数)记作 rect,定义为
该函数的图像如图 3.17 所示。

图 3.17:矩形函数。
例 3.7(用矩形脉冲提取函数的一部分)
使用矩形函数提取图 3.18(a) 所示函数 \(x\) 的一个周期。
解 :我们选择提取 \(x(t)\) 在 \(-\frac{T}{2}<t \leq \frac{T}{2}\) 区间内的周期。为了提取这个周期,我们需要将 \(x\) 与一个在该区间为 1、其他区间为 0 的函数相乘。这样的函数就是 \(v(t)=\operatorname{rect}\left(\frac{1}{T} t\right)\),如图 3.18(b) 所示。将 \(v\) 与 \(x\) 相乘得到的函数如图 3.18(c) 所示。

图 3.18:使用矩形函数提取周期函数 \(x\) 的一个周期。(a) 函数 \(x\)。(b) 时间缩放后的矩形函数 \(v\)。(c) \(x\) 与 \(v\) 的乘积。
3.5.7 指示函数¶
在工程中,经常出现函数或序列在其定义域的某个子集上为 1,其余部分为 0 的情况(例如单位阶跃函数、矩形函数、第 8 章后续出现的单位阶跃序列以及第 8 章后续出现的 delta 序列)。指示函数符号为表示此类函数和序列提供了一种简明方法。集合 \(A\) 的子集 \(S\) 的指示函数记作 \(\chi_{S}\),定义为
例 3.8 :一个在 \(\mathbb{R}\) 上定义的矩形脉冲,幅值为 1,前沿在 \(a\),后沿在 \(b\),可以表示为 \(\chi_{[a, b]}\)。单位阶跃函数(在 \(\mathbb{R}\) 上定义)表示为 \(\chi_{[0, \infty)}\)。单位矩形脉冲(在 \(\mathbb{R}\) 上定义)表示为 \(\chi_{[-1 / 2,1 / 2)}\)。
3.5.8 三角函数¶
另一个有用的基本函数是三角函数(也称为单位三角脉冲函数),记作 tri,定义为
该函数的图像如图 3.19 所示。

图 3.19:三角函数。
3.5.9 基本正弦函数¶
在信号与系统的研究中,形式为 \(x(t)=\frac{\sin t}{t}\) 的函数经常出现。因此,为了方便,对这一特殊函数给予了一个专门的名称——基本正弦函数。更正式地,基本正弦函数(也称为 sinc 函数)记作 sinc,定义为
"sinc" 这一名称是函数完整拉丁名称 "sinus cardinalis"(基本正弦)的缩写。利用洛必达法则,可以确认 sinc \(t\) 在 \(t=0\) 时有定义,即 \(\operatorname{sinc} 0=1\)。
值得注意的是,文献中有时也会使用与上述不同的 sinc 函数定义。特别地,sinc 函数有时定义为
为了避免可能的混淆,我们将式 (3.21) 定义的函数 \(x\) 称为归一化 sinc 函数。作为其他实践的示例,式 (3.20) 的 sinc 函数定义被文献 [8, 9, 14] 使用,而式 (3.21) 的定义被文献 [7, 13, 15] 以及 MATLAB 软件采用。
3.5.10 与取整相关的函数¶
取整有时是一个需要关注的操作。以下介绍几种与取整相关的函数。
下取整函数,记作 \(\lfloor\cdot\rfloor\),是将实数 \(x\) 映射为不大于 \(x\) 的最大整数的函数。换句话说,下取整函数将实数向负无穷方向取整为最接近的整数。例如:
上取整函数,记作 \(\lceil\cdot\rceil\),是将实数 \(x\) 映射为不小于 \(x\) 的最小整数的函数。换句话说,上取整函数将实数向正无穷方向取整为最接近的整数。例如:
一些常用的与下取整和上取整函数相关的恒等式包括:
取余函数,记作 mod,是一个将两个整数 \(m\) 和 \(n\) 映射为 \(m\) 除以 \(n\) 后的余数的函数,其中余数定义为始终非负。例如,\(\bmod (10,3)=1\),\(\bmod (-3,2)=1\),\(\bmod (8,2)=0\)。取余函数可以用下取整函数表示为:
3.5.11 Delta 函数¶
在系统理论中,一个具有基础性的重要基本函数是 delta 函数。与其直接定义该函数,不如通过其性质来定义它。特别地,delta 函数(也称为 Dirac delta 函数或单位脉冲函数)记作 \(\delta\),定义为满足以下两个性质的函数:
由这些性质可以看出,该函数在原点之外处处为零,在原点处未定义。确实,这是一种特殊的函数。虽然它在除一个点之外的所有位置都为零,但其积分不为零。从技术上讲,delta 函数并不是普通意义下的函数,而是一种称为广义函数的对象。
在图形上,delta 函数表示如图 3.20 所示。由于该函数在原点处取无限值,我们无法绘制其真实数值,因此用一条竖直箭头表示该无限值,同时标示脉冲强度。在图 3.21 中,我们绘制了经过缩放和平移的 delta 函数。

图 3.20:Delta 函数。

图 3.21:缩放和平移后的 delta 函数。
实际上,\(\delta\) 函数可以视为一列函数的极限,该序列中的函数是逐渐变窄且变高的脉冲,并且每个脉冲的积分均为 1。通过这种方式观察 \(\delta\),可以更深入地理解该函数。以下,我们将考虑将 \(\delta\) 函数表示为一列矩形脉冲的极限。
考虑一族矩形脉冲函数,其形式为:
其中 \(\varepsilon\) 为实常数。\(g_{\varepsilon}\) 的图像如图 3.22 所示。显然,\(g_{\varepsilon}\) 是一个宽度为 \(|\varepsilon|\)、高度为 \(\frac{1}{|\varepsilon|}\)、中心在原点的矩形脉冲。可以观察到,随着 \(|\varepsilon|\) 减小,脉冲宽度减小而脉冲高度增大。同时,无论 \(\varepsilon\) 如何选择,脉冲的面积均为 1(即 \(\int_{-\infty}^{\infty} g_{\varepsilon}(t) d t=1\))。因此,\(\delta\) 函数可以视为涉及 \(g_{\varepsilon}\) 的以下极限:

图 3.22:矩形脉冲函数 \(g_{\varepsilon}\)。

图 3.23:\(g_{\varepsilon}\) 在若干 \(\varepsilon\) 值下的图像。
为了帮助可视化这一极限过程,图 3.24 显示了 \(g_{\varepsilon}\) 在若干 \(\varepsilon\) 值下的图像。从图中可以直观地确认,当 \(\varepsilon \rightarrow 0\) 时,\(g_{\varepsilon} \rightarrow \delta\)。因此,\(\delta\) 可视为矩形脉冲的极限情况,其中脉冲宽度趋于无穷小,脉冲高度趋于无限大,同时保证所得函数的积分保持为 1。

图 3.24:\(d_{\varepsilon}\) 在若干 \(\varepsilon\) 值下的图像。
非正式地,也可以将 delta 函数 \(\delta\) 看作单位阶跃函数 \(u\) 的导数。然而严格来说,\(u\) 在 0 处不连续,因此其导数在普通意义下不存在。更准确地说,\(\delta\) 是 \(u\) 的广义导数。广义导数本质上是导数概念的扩展,即使对于不连续函数也可以良好定义。
delta 函数具有多个重要性质,这些性质直接来源于其在 (3.22) 中的定义。下面给出相关定理。
定理 3.3(等价性质)
对于在点 \(t_{0}\) 连续的任意函数 \(x\),
这一结果称为等价性质,如图 3.25 所示。

图 3.25:等价性质的图示。(a) 函数 \(x\);(b) 平移后的 delta 函数;(c) 两者的乘积。
证明:该证明直接来源于 delta 函数仅在单一点非零的事实。
定理 3.4(抽取性质)
对于在点 \(t_{0}\) 连续的任意函数 \(x\),
这一结果称为抽取性质。
证明:由 (3.22b) 可得
将上式两边同时乘以 \(x\left(t_{0}\right)\),得到
然后利用 (3.23) 中的等价性质,可得
定理 3.5(缩放性质)
对于所有非零实数 \(a\),有如下恒等式成立:
该恒等式有时称为 delta 函数的缩放性质。
证明:考虑一族高斯函数,其形式为
我们可以观察到 \(d_{\varepsilon}\) 的几个性质,这些性质与 \(\varepsilon\) 的取值无关。首先,\(d_{\varepsilon}\) 在原点取得最大值 \(\frac{1}{|\varepsilon| \sqrt{\pi}}\),并随着距离原点的增大以二次指数速度衰减。其次,随着 \(|\varepsilon|\) 减小,\(d_{\varepsilon}\) 在非极小值区间的长度减小。第三,\(d_{\varepsilon}\) 满足
因此,\(\delta\) 函数可以视为 \(d_{\varepsilon}\) 的极限情况。特别地,有
为了可视化,图 3.24 显示了 \(d_{\varepsilon}\) 在若干 \(\varepsilon\) 值下的图像。由图可见,当 \(\varepsilon \rightarrow 0\) 时,\(d_{\varepsilon} \rightarrow \delta\)。在上式中将 \(t\) 替换为 \(a t\),得到
进行变量替换,令 \(\varepsilon^{\prime}=\varepsilon / a\),则 \(\varepsilon=\varepsilon^{\prime} a\),\(a=\varepsilon / \varepsilon^{\prime}\)。应用变量替换,得到
因此,(3.25) 得证。
定理 3.6(偶性)
\(\delta\) 函数满足
证明:由 \(\delta\) 函数的定义可直接得出。
如后续将看到的,\(\delta\) 的等价性质、抽取性质、缩放性质及偶性都是非常有用的。最后,由 \(\delta\) 的定义可知,在不包含原点的任意区间上积分该函数,其值为零。
例 3.9(抽取性质示例)
计算积分
解:利用 delta 函数的抽取性质,有
例 3.10(抽取性质示例)
计算积分
解:首先观察,该积分不完全符合 (3.24) 的形式,因此需要进行变量替换。令 \(\tau=4 t\),则 \(t=\frac{1}{4} \tau\),\(d t=\frac{1}{4} d \tau\)。进行变量替换,得到
此时积分形式满足要求,可使用 delta 函数的抽取性质,得到
例 3.11
计算积分 \(\int_{-\infty}^{t}\left(\tau^{2}+1\right) \delta(\tau-2) d \tau\)。
解:利用 (3.23) 给出的 delta 函数等价性质,可得
由 delta 函数的定义性质 (3.22),可知
因此,得出结论:
3.6 用基本函数表示任意函数¶
在前面的章节中,我们介绍了若干基本函数。在信号分析中,通常希望将任意函数表示为基本函数的组合。下面讨论如何利用单位阶跃函数 \(u\) 来得到函数的另一种表示。
例 3.12(矩形函数)
证明矩形函数可以表示为
解:利用 \(u\) 的定义及时间平移,有
因此
图 3.26 给出了图示。

Figure 3.26: Representing the rectangular function using unit-step functions. (a) A shifted unit-step function, (b) another shifted unit-step function, and (c) their difference (which is the rectangular function).
推广到任意矩形脉冲:高度为 1,起始边 \(a\),结束边 \(b\):
例 3.13(分段线性函数)。考虑如下分段线性函数 \(x\):
求一个适用于所有 \(t\) 的单一表达式(使用单位阶跃函数表示)。
解答:\(x\) 的图像如图 3.27(a) 所示。我们分别考虑分段函数的每一段:
- 第一段(\(0 \leq t<1\))可表示为:
该函数绘制如图 3.27(b)。
- 第二段(\(1 \leq t<2\))可表示为:
该函数绘制如图 3.27(c)。
- 第三段(\(2 \leq t<3\))可表示为:
该函数绘制如图 3.27(d)。
现在注意到:
即:
因此,我们得到了一个适用于所有 \(t\) 的单一表达式。

图 3.27:使用单位阶跃函数表示分段线性函数。(a) 函数 \(x\);(b)、(c) 和 (d) 三个函数,它们的和为 \(x\)。
例 3.14(分段多项式函数)。考虑如下分段多项式函数 \(x\):
求一个适用于所有 \(t\) 的单一表达式(使用单位阶跃函数表示)。
解:\(x\) 的图像如图 3.28(a) 所示。我们分别考虑分段函数的每一段:

图 3.28:使用单位阶跃函数表示分段多项式函数。(a) 函数 \(x\);(b)、(c) 和 (d) 三个函数,其和为 \(x\)。
- 第一段(\(0 \leq t<1\))可表示为:
该函数绘制如图 3.28(b)。
- 第二段(\(1 \leq t<3\))可表示为:
该函数绘制如图 3.28(c)。
- 第三段(\(3 \leq t<4\))可表示为:
该函数绘制如图 3.28(d)。
现在观察到: $$ x=v_{1}+v_{2}+v_{3} .$$ 即:
因此,我们得到了一个适用于所有 \(t\) 的单一表达式。
例 3.15(周期函数)。考虑图 3.29(a) 所示的周期函数 \(x\)。求一个适用于所有 \(t\) 的 \(x(t)\) 的单一表达式(涉及单位阶跃函数)。
解答。我们首先求 \(x\) 的一个周期的表达式。将此表达式记为 \(v\)。则可以写为:
该函数绘制如图 3.29(b) 所示。为了得到周期函数 \(x\),我们必须每 2 个单位重复 \(v\)(因为 \(x\) 的周期为 2)。这可以通过添加无限多个平移后的 \(v\) 副本来实现,即:

图 3.29:使用单位阶跃函数表示周期函数。(a) 周期函数 \(x\);(b) 一个由 \(x\) 的单个周期组成的函数 \(\nu\)。
因此,我们得到了一个适用于所有 \(t\) 的 \(x\) 的单一表达式。
3.7 连续时间系统¶
假设我们有一个输入为 \(x\)、输出为 \(y\) 的系统。这样的系统可以用下式在数学上描述:
其中 \(\mathcal{H}\) 是表示系统的算子(即变换)。算子 \(\mathcal{H}\) 将输入函数 \(x\) 映射为输出函数 \(y\)。另外,我们有时也使用如下符号表示关系 (3.26):
此外,如果上下文清楚,算子 \(\mathcal{H}\) 常常可以省略,从而得到简化的表示法:
注意,符号“\(\rightarrow\)”和“\(=\)”的意义完全不同。例如,符号 \(x \rightarrow y\) 并不意味着 \(x=y\)。符号“\(\rightarrow\)”应读作“产生”(而非“等于”)。也就是说,“\(x \rightarrow y\)”应理解为“输入 \(x\) 产生输出 \(y\)”。
3.7.1 框图表示¶
假设我们有一个由算子 \(\mathcal{H}\) 定义的系统,其输入为 \(x\),输出为 \(y\)。通常,我们使用如图 3.30 所示的框图来表示这样的系统。

图 3.30:系统的框图。
3.7.2 系统的互连¶
系统可以通过多种方式互连。两种基本互连方式如图 3.31 所示。第一种互连方式,如图 3.31(a) 所示,称为串联或级联互连。在此情况下,整体系统由下式定义:
第二种互连方式,如图 3.31(b) 所示,称为并联互连。在此情况下,整体系统由下式定义:
除非已知算子 \(\mathcal{H}_1\) 和 \(\mathcal{H}_2\) 的具体定义,否则 (3.27) 和 (3.28) 中的系统方程无法进一步简化。

图 3.31:系统的互连。(a) 系统 \(\mathcal{H}_{1}\) 与 \(\mathcal{H}_{2}\) 的串联互连;(b) 系统 \(\mathcal{H}_{1}\) 与 \(\mathcal{H}_{2}\) 的并联互连。
3.8 系统的性质¶
在下文中,我们将定义系统可能具有的一些重要性质。这些性质对于系统的分类以及特性描述非常有用。
3.8.1 无记忆性¶
如果对于每个实常数 \(t_{0}\),系统 \(\mathfrak{H}\) 的输出 \(\mathfrak{H} x\left(t_{0}\right)\) 不依赖于某些 \(t \neq t_{0}\) 时的输入 \(x(t)\),则称该系统为无记忆系统。换句话说,无记忆系统的输出在任意时刻的值仅依赖于输入在同一时刻的值。一个不是无记忆的系统被称为有记忆系统。虽然无记忆系统结构简单,但其灵活性有限,因为当前输出值不能依赖输入的过去或未来值。
例 3.16(理想放大器)。判断系统 \(\mathcal{H}\) 是否为无记忆系统,其中
且 \(A\) 是非零实常数。
解答。考虑在任意点 \(t=t_{0}\) 计算 \(\mathcal{H} x(t)\)。我们有:
因此,\(\mathcal{H} x\left(t_{0}\right)\) 仅依赖 \(t=t_{0}\) 时的 \(x(t)\)。所以,该系统是无记忆的。
例 3.17(理想积分器)。判断系统 \(\mathcal{H}\) 是否为无记忆系统,其中
解答。考虑在任意点 \(t=t_{0}\) 计算 \(\mathcal{H} x(t)\)。我们有:
因此,\(\mathcal{H} x\left(t_{0}\right)\) 依赖于 \(-\infty < t \le t_{0}\) 时的 \(x(t)\)。所以 \(\mathcal{H} x\left(t_{0}\right)\) 依赖于某些 \(t \neq t_{0}\) 的 \(x(t)\)(例如 \(t_{0}-1\))。因此,该系统是有记忆的(即不是无记忆系统)。
例 3.18。判断系统 \(\mathcal{H}\) 是否为无记忆系统,其中
解答。考虑在任意点 \(t=t_{0}\) 计算 \(\mathcal{H} x(t)\)。我们有:
因此,\(\mathcal{H} x\left(t_{0}\right)\) 仅依赖 \(t=t_{0}\) 时的 \(x(t)\)。所以,该系统是无记忆的。
例 3.19。判断系统 \(\mathcal{H}\) 是否为无记忆系统,其中
解答。考虑在任意点 \(t=t_{0}\) 计算 \(\mathcal{H} x(t)\)。我们有:
因此,对于任意 \(x\) 和任意实数 \(t_{0}\),\(\mathcal{H} x\left(t_{0}\right)\) 依赖于 \(x(t)\) 在 \(t=t_{0}\) 和 \(t=-t_{0}\) 的值。由于 \(\mathcal{H} x\left(t_{0}\right)\) 依赖于某些 \(t \neq t_{0}\) 的 \(x(t)\),该系统是有记忆的(即不是无记忆系统)。
3.8.2 因果性(Causality)¶
如果一个系统 \(\mathcal{H}\) 满足以下条件:对于任意实常数 \(t_0\),\(\mathcal{H} x(t_0)\) 不依赖于 \(x(t)\) 对于某些 \(t>t_0\) 的值,则称该系统是因果的(causal)。换句话说,因果系统的输出在任意时刻仅依赖于输入在同一时刻或之前的值(不能依赖未来的值)。无存储系统一定是因果的,但反之不一定成立。
如果自变量表示时间,则系统必须是因果的才能在物理上可实现(即可以构建)。非因果系统在某些场合仍然有用,因为自变量不必总是表示时间。
例 3.20(理想积分器)
判断系统 \(\mathcal{H}\) 是否因果,其中
解答
对于任意 \(t_0\):
输出仅依赖于 \(t \le t_0\) 的输入值,因此系统是因果的。
例 3.21
判断系统 \(\mathcal{H}\) 是否因果,其中
解答
对于任意 \(t_0\):
输出依赖于 \(t_0-1 \le t \le t_0+1\) 的输入值,其中一些值大于 \(t_0\)(例如 \(t_0+1\)),因此系统不是因果的。
例 3.22
判断系统 \(\mathcal{H}\) 是否因果,其中
解答
对于任意 \(t_0\):
输出仅依赖于 \(t=t_0-1 \le t_0\) 的输入值,因此系统是因果的。
例 3.23
判断系统 \(\mathcal{H}\) 是否因果,其中
解答。对于任意 \(x\) 和任意实常数 \(t_{0}\),\(\mathcal{H} x\left(t_{0}\right)\) 仅依赖于 \(t=t_{0}\) 和 \(t=-t_{0}\) 时的 \(x(t)\)。假设 \(t_{0}=-1\)。在这种情况下,\(\mathcal{H} x\left(t_{0}\right)\)(即 \(\mathcal{H} x(-1)\))依赖于 \(t=1\) 时的 \(x(t)\),但 \(t=1>t_{0}\)。因此,该系统不是因果系统。
3.8.3 可逆性¶
系统 \(\mathcal{H}\) 的逆系统是一个系统 \(\mathcal{G}\),使得对每一个函数 \(x\) 都有
(即,由 \(\mathfrak{H}\) 和 \(\mathcal{G}\) 串联形成的系统,其输入与输出相等)。换句话说,\(\mathcal{H}\) 的作用被 \(\mathcal{G}\) 抵消。符号上,\(\mathcal{H}\) 的逆系统记为 \(\mathcal{H}^{-1}\)。系统与其逆系统的关系如图 3.32 所示。由于 \(\mathcal{H}\) 与 \(\mathcal{H}^{-1}\) 的关系(即 \(\mathcal{H}^{-1}\) 抵消 \(\mathcal{H}\)),图中的两个系统必须是等效的。

图 3.32:等效系统(假设 \(\mathfrak{H}^{-1}\) 存在)。(a) 第一系统;(b) 第二系统。
如果一个系统 \(\mathscr{H}\) 存在对应的逆系统(即其逆系统存在),则称该系统是可逆的。一个可逆系统必须满足其输入 \(x\) 可以总是从输出 \(\mathcal{H} x\) 唯一确定。由此定义可知,可逆系统对于任意两个不同的输入,总会产生不同的输出。
要证明一个系统是可逆的,只需找到它的逆系统即可。要证明一个系统不可逆,只需找到该系统的两个不同输入导致相同输出即可。在实际应用中,可逆系统很有用,因为其作用可以被撤销。
例 3.24. 判定系统 \(\mathcal{H}\) 是否可逆,其中
且 \(t_{0}\) 为实常数。
解:设 \(y=\mathcal{H} x\)。将 \(t+t_{0}\) 代入 \(y(t)=x\left(t-t_{0}\right)\),得到
因此,我们得出
这正是逆系统 \(\mathcal{H}^{-1}\) 的方程。具体地,我们有
其中
因此,我们找到了 \(\mathcal{H}^{-1}\)。所以系统 \(\mathcal{H}\) 是可逆的。
例 3.25. 判定系统 \(\mathcal{H}\) 是否可逆,其中
解:考虑输入形式为 \(x(t)=2 \pi k\),其中 \(k\) 为任意整数。该输入下的系统响应为
因此,我们找到了无限多个不同输入(即 \(x(t)=2 \pi k\),\(k=0, \pm 1, \pm 2, \ldots\)),它们都产生相同输出。因此,该系统不可逆。
例 3.26. 判定系统 \(\mathcal{H}\) 是否可逆,其中
解:设 \(y=\mathcal{H} x\)。根据 \(\mathcal{H}\) 的定义,可以写作
换句话说,\(\mathcal{H}^{-1}\) 为 \(\mathcal{H}^{-1} y(t)=\frac{1}{3} y\left(\frac{1}{3} t-1\right)\)。由于我们已经找到了 \(\mathcal{H}^{-1}\),所以 \(\mathcal{H}^{-1}\) 存在。因此系统 \(\mathscr{H}\) 是可逆的。
示例 3.27. 判定系统 \(\mathcal{H}\) 是否可逆,其中
解:考虑输入 \(x\) 形式为
其中 \(\alpha\) 为实常数。系统响应为
因此,任何常数输入都会产生相同的零输出。这意味着不同输入可能产生相同输出。因此,该系统不可逆。
3.8.4 有界输入有界输出(BIBO)稳定性¶
尽管稳定性可以用多种方式定义,但在系统理论中,我们通常最关心的是有界输入有界输出(BIBO)稳定性。
如果对于每一个有界函数 \(x\),系统 \(\mathcal{H}\) 的输出 \(\mathcal{H} x\) 也是有界的(即 \(|x(t)|<\infty\) 对所有 \(t\) 都成立,则 \(|\mathcal{H}(x(t))|<\infty\) 对所有 \(t\) 也成立),则称系统 \(\mathcal{H}\) 是 BIBO 稳定的。换句话说,BIBO 稳定系统保证只要输入是有界的,其输出也始终是有界的。
要证明一个系统是 BIBO 稳定的,我们必须展示每一个有界输入都会产生有界输出。要证明一个系统不是 BIBO 稳定的,我们只需找到一个反例(即一个有界输入导致输出无界)。在尝试证明系统 BIBO 稳定时,三角不等式(F.16)通常非常有用。
在实际意义上,BIBO 稳定系统的行为良好:只要系统输入在任意时刻保持有限,输出也将在任意时刻保持有限。通常,非 BIBO 稳定的系统会带来严重的安全问题。例如,一个便携式音乐播放器,如果电池输入为 3.7 伏特,而耳机输出为 \(\infty\) 伏特,将导致一名人体瞬间蒸发(可能还会伴随一场巨大的诉讼)。
例 3.28(平方器)
确定系统 \(\mathfrak{H}\) 是否 BIBO 稳定,其中
解答
假设输入 \(x\) 是有界的,即对所有 \(t\):
其中 \(A\) 是有限的实常数。对不等式两边平方,得到:
交换左侧的不等式中的平方与绝对值运算顺序,可得:
由于 \(\mathcal{H} x(t)=x^{2}(t)\),我们可以写成:
由于 \(A\) 有限,因此 \(A^{2}\) 也是有限的。因此,\(\mathcal{H} x\) 是有界的(即 \(|\mathcal{H} x(t)| \leq A^{2}<\infty\) 对所有 \(t\) 成立)。因此,该系统是 BIBO 稳定的。
例 3.29(理想积分器)
确定系统 \(\mathfrak{H}\) 是否 BIBO 稳定,其中
解答
假设我们选择输入 \(x=u\)(其中 \(u\) 表示单位阶跃函数)。显然,\(u\) 是有界的(即 \(|u(t)| \leq 1\) 对所有 \(t\) 成立)。计算该输入的响应 \(\mathcal{H} x\):
然而,从结果可见,当 \(t \rightarrow \infty\) 时,\(\mathcal{H} x(t) \rightarrow \infty\)。因此,对于有界输入 \(x\),输出 \(\mathcal{H} x\) 是无界的。因此,该系统不是 BIBO 稳定的。
例 3.30
确定系统 \(\mathcal{H}\) 是否 BIBO 稳定,其中
解答
假设 \(x\) 是有界的,则 \(x(-t)\) 也是有界的。由于两个有界函数的差仍然是有界的,\(x(t)-x(-t)\) 是有界的。将有界函数乘以有限常数仍然得到有界结果。因此,函数 \(\frac{1}{2}[x(t)-x(-t)]\) 是有界的。因此,\(\mathcal{H} x(t)\) 是有界的。由于有界输入必须产生有界输出,该系统是 BIBO 稳定的。
例 3.31(理想微分器)
确定系统 \(\mathcal{H}\) 是否 BIBO 稳定,其中
且 \(\mathcal{D}\) 表示求导算子。
解答
考虑输入 \(x(t)=\sin \left(t^{2}\right)\)。显然,\(x\) 是有界的,因为正弦函数是有界的。特别地,对所有实数 \(t\),\(|x(t)| \leq 1\)。现在考虑系统对输入 \(x\) 的响应:
显然,\(\mathcal{H} x\) 是无界的,因为 \(|\mathcal{H} x(t)|\) 随着 \(|t| \rightarrow \infty\) 无界增长。因此,对于某些有界输入,输出不是有界的。因此,该系统不是 BIBO 稳定的。
3.8.5 时间不变性¶
如果对于每一个函数 \(x\) 和每一个实数 \(t_{0}\),系统 \(\mathcal{H}\) 满足以下条件:
则称系统 \(\mathcal{H}\) 为时间不变(TI)(或移位不变(SI))(即 \(\mathcal{H}\) 与时间平移算子可交换)。换句话说,如果输入函数发生时间平移(提前或延迟),输出函数也会发生相同的时间平移,则系统是时间不变的。非时间不变系统称为时间可变(或移位可变)系统。实际上,时间不变意味着图 3.33 中的两个系统是等价的,其中 \(\mathcal{S}_{t_{0}}\) 表示对函数施加 \(t_{0}\) 的时间平移算子(即 \(\mathcal{S}_{t_{0}} x(t)=x(t-t_{0})\))。
简而言之,时间不变系统的行为随时间不发生变化。实际上,与时间可变系统相比,时间不变系统更易于设计和分析,因为其行为不会随时间变化。

图 3.33:如果 \(\mathcal{H}\) 是时间不变的(即 \(\mathcal{H}\) 与 \(\mathcal{S}_{t_{0}}\) 可交换),两个系统是等价的。(a) 先将输入平移 \(t_{0}\) 再施加 \(\mathcal{H}\)(即 \(y=\mathcal{H} \mathcal{S}_{t_{0}} x\));(b) 先施加 \(\mathcal{H}\) 再平移 \(t_{0}\)(即 \(y=\mathcal{S}_{t_{0}} \mathcal{H}(x)\))。
例 3.32
确定系统 \(\mathcal{H}\) 是否时间不变,其中
解答
设 \(x^{\prime}(t)=x\left(t-t_{0}\right)\),其中 \(t_{0}\) 是任意实常数。根据 \(\mathcal{H}\) 的定义,可以得到:
由于 \(\mathcal{H} x\left(t-t_{0}\right)=\mathcal{H} x^{\prime}(t)\) 对所有 \(x\) 和 \(t_{0}\) 成立,因此该系统是时间不变的。
例 3.33
确定系统 \(\mathcal{H}\) 是否时间不变,其中
解答
设 \(x^{\prime}(t)=x\left(t-t_{0}\right)\),其中 \(t_{0}\) 是任意实常数。根据 \(\mathcal{H}\) 的定义:
由于 \(\mathcal{H} x\left(t-t_{0}\right)=\mathcal{H} x^{\prime}(t)\) 对所有 \(x\) 和 \(t_{0}\) 不成立,因此该系统不是时间不变的(即系统是时间可变的)。
例 3.34
确定系统 \(\mathcal{H}\) 是否时间不变,其中
解答
设 \(x^{\prime}(t)=x\left(t-t_{0}\right)\),其中 \(t_{0}\) 是任意实常数。根据 \(\mathcal{H}\) 的定义:
由于 \(\mathcal{H}\left(x\left(t-t_{0}\right)\right)=\mathcal{H} x^{\prime}(t)\) 对所有 \(x\) 和 \(t_{0}\) 成立,因此该系统是时间不变的。
例 3.35
确定系统 \(\mathcal{H}\) 是否时间不变,其中
解答
设 \(x^{\prime}(t)=x\left(t-t_{0}\right)\),其中 \(t_{0}\) 是任意实常数。根据 \(\mathcal{H}\) 的定义:
由于 \(\mathcal{H} x\left(t-t_{0}\right)=\mathcal{H} x^{\prime}(t)\) 对所有 \(x\) 和 \(t_{0}\) 不成立,因此该系统不是时间不变的。
3.8.6 线性¶
加法和标量乘法是最常见的两种数学运算。因此,了解这些运算是否与给定系统的操作可交换通常非常有帮助。接下来介绍的系统性质就与此问题相关。
如果对于所有函数 \(x_{1}\) 和 \(x_{2}\),系统 \(\mathcal{H}\) 满足:
则称系统 \(\mathcal{H}\) 为加法性的(即 \(\mathcal{H}\) 与加法可交换)。本质上,系统 \(\mathcal{H}\) 的加法性意味着图 3.34 所示的两个系统是等价的。
如果对于每一个函数 \(x\) 和每一个复常数 \(a\),系统 \(\mathcal{H}\) 满足:
则称系统 \(\mathcal{H}\) 为齐次的(即 \(\mathcal{H}\) 与标量乘法可交换)。本质上,系统 \(\mathcal{H}\) 的齐次性意味着图 3.35 所示的两个系统是等价的。

图 3.34:如果 \(\mathcal{H}\) 是加法性的(即 \(\mathcal{H}\) 与加法可交换),两个系统是等价的。(a) 先执行加法再施加 \(\mathcal{H}\)(即 \(y=\mathcal{H}\left(x_{1}+x_{2}\right)\));(b) 先施加 \(\mathcal{H}\) 再执行加法(即 \(y=\mathcal{H} x_{1}+\mathcal{H}(x_{2})\))。

图 3.35:如果 \(\mathcal{H}\) 是齐次的(即 \(\mathcal{H}\) 与标量乘法可交换),两个系统是等价的。(a) 先进行标量乘法再施加 \(\mathcal{H}\)(即 \(y=\mathcal{H}(a x)\));(b) 先施加 \(\mathcal{H}\) 再进行标量乘法(即 \(y=a \mathcal{H} x\))。
加法性和齐次性可以合并为一个性质,即叠加性。特别地,如果对于所有函数 \(x_{1}\) 和 \(x_{2}\) 以及所有复常数 \(a_{1}\) 和 \(a_{2}\),系统 \(\mathcal{H}\) 满足:
则称系统 \(\mathcal{H}\) 具有叠加性(即 \(\mathcal{H}\) 与线性组合可交换)。如果一个系统既是加法性的又是齐次的(或等价地满足叠加性),则称其为线性系统。本质上,系统 \(\mathcal{H}\) 的线性意味着图 3.36 所示的两个系统是等价的。要证明一个系统是线性的,可以证明它同时具有加法性和齐次性,或者直接证明它满足叠加性。实际上,线性系统相比非线性系统更易于设计和分析。

图 3.36:如果 \(\mathcal{H}\) 是线性的(即 \(\mathcal{H}\) 与线性组合可交换),两个系统是等价的。(a) 先计算线性组合再施加 \(\mathcal{H}\)(即 \(y=\mathcal{H}\left(a_{1} x_{1}+a_{2} x_{2}\right)\));(b) 先施加 \(\mathcal{H}\) 再计算线性组合(即 \(y=a_{1} \mathcal{H} x_{1}+a_{2} \mathcal{H} x_{2}\))。
例 3.36
确定系统 \(\mathcal{H}\) 是否线性,其中
解答
设 \(x^{\prime}(t)=a_{1} x_{1}(t)+a_{2} x_{2}(t)\),其中 \(x_{1}\) 和 \(x_{2}\) 为任意函数,\(a_{1}\) 和 \(a_{2}\) 为任意复常数。根据 \(\mathcal{H}\) 的定义:
由于 \(\mathcal{H}\left(a_{1} x_{1}+a_{2} x_{2}\right)=a_{1} \mathcal{H} x_{1}+a_{2} \mathcal{H} x_{2}\) 对所有 \(x_{1}, x_{2}, a_{1}, a_{2}\) 成立,因此系统满足叠加性,是线性的。
例 3.37
确定系统 \(\mathcal{H}\) 是否线性,其中
解答
设 \(x^{\prime}(t)=a_{1} x_{1}(t)+a_{2} x_{2}(t)\),其中 \(x_{1}\) 和 \(x_{2}\) 为任意函数,\(a_{1}\) 和 \(a_{2}\) 为任意复常数。根据 \(\mathcal{H}\) 的定义:
根据三角不等式 (F.16),\(\mathcal{H}\left(a_{1} x_{1}+a_{2} x_{2}\right)=a_{1} \mathcal{H} x_{1}+a_{2} \mathcal{H} x_{2}\) 并不总是成立。例如,取
则
因此,叠加性不成立,该系统不是线性的。
例 3.38
确定系统 \(\mathcal{H}\) 是否线性,其中
解答
设 \(x^{\prime}(t)=a_{1} x_{1}(t)+a_{2} x_{2}(t)\),其中 \(x_{1}\) 和 \(x_{2}\) 为任意函数,\(a_{1}\) 和 \(a_{2}\) 为任意复常数。根据 \(\mathcal{H}\) 的定义:
由于 \(\mathcal{H}\left(a_{1} x_{1}+a_{2} x_{2}\right)=a_{1} \mathcal{H} x_{1}+a_{2} \mathcal{H} x_{2}\) 对所有 \(x_{1}, x_{2}, a_{1}, a_{2}\) 成立,因此该系统是线性的。
例 3.39
确定系统 \(\mathcal{H}\) 是否线性,其中
解答
设 \(x^{\prime}(t)=a_{1} x_{1}(t)+a_{2} x_{2}(t)\),其中 \(x_{1}\) 和 \(x_{2}\) 为任意函数,\(a_{1}\) 和 \(a_{2}\) 为任意复常数。根据 \(\mathcal{H}\) 的定义:
显然,\(\mathcal{H}\left(a_{1} x_{1}+a_{2} x_{2}\right)\) 与 \(a_{1} \mathcal{H} x_{1}+a_{2} \mathcal{H} x_{2}\) 表达式差异较大。对于许多 \(a_{1}, a_{2}, x_{1}, x_{2}\) 的选择(如 \(a_{1}=2, a_{2}=0, x_{1}(t)=1, x_{2}(t)=0\)),两者不相等。因此,叠加性不成立,该系统不是线性的。
例 3.40(理想积分器)
系统 \(\mathcal{H}\) 由下式定义:
判断该系统是否具有加法性和/或齐次性,并判断是否线性。
解答
首先,考虑加法性。从 \(\mathcal{H}\) 的定义出发:
由于 \(\mathcal{H}\left(x_{1}+x_{2}\right)=\mathcal{H} x_{1}+\mathcal{H} x_{2}\) 对所有 \(x_{1}\) 和 \(x_{2}\) 成立,因此系统具有加法性。
其次,考虑齐次性。设 \(a\) 为任意复常数:
由于 \(\mathcal{H}(a x)=a \mathcal{H} x\) 对所有 \(x\) 和 \(a\) 成立,因此系统具有齐次性。
最后,考虑线性。由于系统同时具有加法性和齐次性,因此系统是线性的。
例 3.41. 给定一个系统 \(\mathfrak{H}\) 为
判定该系统是否具有可加性和/或齐次性,并判定该系统是否为线性系统。
解:首先,检查可加性属性是否满足。根据 \(\mathcal{H}\) 的定义,我们有
由于对所有 \(x_{1}\) 和 \(x_{2}\) 都有 \(\mathcal{H}\left(x_{1}+x_{2}\right)=\mathcal{H} x_{1}+\mathcal{H} x_{2}\),该系统是可加的。
其次,检查齐次性属性是否满足。设 \(a\) 为任意复常数。根据 \(\mathcal{H}\) 的定义,有
为了使 \(\mathcal{H}\) 齐次,必须对所有 \(x\) 和所有复数 \(a\) 满足 \(a \mathcal{H} x(t)=\mathcal{H}(a x)(t)\)。假设 \(a=j\) 且 \(x\) 非零(即 \(x\) 不是函数 \(x(t)=0\))。此时有
显然,\(\mathcal{H}(a x)\) 与 \(a \mathcal{H} x\) 不相等。因此,该系统不具有齐次性。
最后,考虑线性属性。由于该系统不同时具备可加性和齐次性,因此它不是线性系统。
3.8.7 特征函数¶
系统 \(\mathcal{H}\) 的特征函数是满足
的函数 \(x\),其中 \(\lambda\) 为某个复常数,称为特征值。换句话说,如果 \(x\) 是 \(\mathcal{H}\) 的特征函数,则 \(\mathcal{H} x\) 是 \(x\) 的一个标量倍(即某个常数乘以 \(x\))。本质上,当系统的输入为其特征函数之一时,系统表现得像理想放大器(即执行幅度缩放)。特征函数性质的重要性不可低估。无论系统多么复杂,其对特征函数的行为都极为简单。我们经常可以利用这种简单性来降低解决涉及系统问题的复杂性。实际上,正如我们稍后将看到的,特征函数几乎构成了许多研究系统所使用的数学工具的基础。
例 3.42
考虑由下式描述的系统 \(\mathcal{H}\):
其中 \(\mathcal{D}\) 表示微分算子。对于下列每个函数 \(x\),判断其是否为 \(\mathcal{H}\) 的特征函数,如果是,则求对应的特征值。
(a) \(x(t)=\cos (2 t)\);
(b) \(x(t)=t^{3}\)。
解答
(a) 令 \(x(t) = \cos(2t)\)。根据 \(\mathcal{H}\) 的定义:
因此,\(\mathcal{H} x\) 是 \(x\) 的标量倍(标量倍为 -4)。所以,\(x\) 是 \(\mathcal{H}\) 的特征函数,特征值为 -4。
(b) 令 \(x(t) = t^3\)。根据 \(\mathcal{H}\) 的定义:
由于 \(\mathcal{H} x\) 不是 \(x\) 的标量倍,因此 \(x\) 不是 \(\mathcal{H}\) 的特征函数。
例 3.43(理想放大器)
考虑系统 \(\mathcal{H}\):
其中 \(a\) 为复常数。显然,每个函数都是 \(\mathcal{H}\) 的特征函数,特征值均为 \(a\)。
3.9 练习题¶
3.9.1 无答案练习题¶
3.1 对于下列函数 \(y\),确定为了得到 \(y\),必须对函数 \(x\) 施加哪些自变量和因变量变换。选择变换顺序时,保证时间平移在时间缩放之前,幅度缩放在幅度平移之前。并清晰标明变换的施加顺序。
(a) \(y(t) = x(2 t - 1)\);
(b) \(y(t) = x\left(\frac{1}{2} t + 1\right)\);
(c) \(y(t) = 2 x\left(-\frac{1}{2} t + 1\right) + 3\);
(d) \(y(t) = -\frac{1}{2} x(-t + 1) - 1\);
(e) \(y(t) = -3 x(2 [t-1]) - 1\);
(f) \(y(t) = x(7 [t+3])\)。
3.2 对于下列每对函数 \(x\) 和 \(y\),用 \(x\) 表示 \(y\),并尽量使表达式的项数最少。

(a)

(b)


(c)
3.3 假设两个函数 \(x\) 和 \(y\) 满足关系
其中 \(a\) 和 \(b\) 为实常数,且 \(a \neq 0\)。
(a) 证明 \(y\) 可通过先对 \(x\) 平移 \(b\) 单位时间,再对结果进行时间缩放 \(a\) 单位得到。
(b) 证明 \(y\) 也可通过先对 \(x\) 进行时间缩放 \(a\) 单位,再对结果平移 \(\frac{b}{a}\) 单位得到。
3.4 给定下图所示函数 \(x\),绘制并标注下列函数:
(a) \(x(t-1)\);
(b) \(x(2 t)\);
(c) \(x(-t)\);
(d) \(x(2 t+1)\);
(e) \(\frac{1}{4} x\left(-\frac{1}{2} t + 1\right) - \frac{1}{2}\)。

3.5 给定函数
求并绘制 \(y(t) = x(-4 t - 1)\)。
3.6 判断下列函数 \(x\) 是否为周期函数,若是,求其基周期。
(a) \(x(t) = \cos (2 \pi t) + \sin (5 t)\);
(b) \(x(t) = \left[\cos \left(4 t - \frac{\pi}{3}\right)\right]^2\);
(c) \(x(t) = e^{j 2 \pi t} + e^{j 3 \pi t}\);
(d) \(x(t) = 1 + \cos(2 t) + e^{j 5 t}\);
(e) \(x(t) = \cos(14 t - 1) + \cos(77 t - 3)\);
(f) \(x(t) = \cos(e t) + \sin(42 t)\);
(g) \(x(t) = |\sin (\pi t)|\);
(h) \(x(t) = \cos(6 \sqrt{2} t) + \sin(15 \sqrt{2} t)\)。
3.7 如果函数 \(x\) 是 \(T\)-周期的,证明在下列情况下函数 \(y\) 也是 \(T\)-周期的:
(a) \(y(t) = c x(t)\),其中 \(c\) 为复常数;
(b) \(y(t) = x(t) + c\),其中 \(c\) 为复常数;
(c) \(y(t) = x(t - c)\),其中 \(c\) 为实常数。
3.8 设函数 \(y\) 为
其中 \(x\) 为任意函数,\(T > 0\)。证明 \(y\) 是 \(T\)-周期的。
3.9 判断下列函数 \(x\) 是偶函数、奇函数,还是既非偶也非奇。
(a) \(x(t) = t^3\);
(b) \(x(t) = t^3 |t|\);
(c) \(x(t) = |t^3|\);
(d) \(x(t) = \cos(2 \pi t) \sin(2 \pi t)\);
(e) \(x(t) = e^{j 2 \pi t}\);
(f) \(x(t) = \frac{1}{2} [e^t + e^{-t}]\)。
3.10 证明下列命题:
(a) 两个偶函数的和是偶函数。
(b) 两个奇函数的和是奇函数。
(c) 一个偶函数与一个奇函数的和(且两函数均不恒为零)既非偶也非奇。
(d) 两个偶函数的积是偶函数。
(e) 两个奇函数的积是偶函数。
(f) 一个偶函数与一个奇函数的积是奇函数。
3.11 证明,如果 \(x\) 是奇函数,则
其中 \(A\) 为正实常数。
3.12 证明,对于任意函数 \(x\),
其中 \(x_{\mathrm{e}}\) 和 \(x_{\mathrm{o}}\) 分别为 \(x\) 的偶部分和奇部分。
3.13 设 \(x\) 的导数为 \(y\)。
(a) 证明如果 \(x\) 是偶函数,则 \(y\) 是奇函数。
(b) 证明如果 \(x\) 是奇函数,则 \(y\) 是偶函数。
3.14 对任意函数 \(x\),其偶部分和奇部分分别为 \(x_{\mathrm{e}}\) 和 \(x_{\mathrm{o}}\),证明:
(a) \(\displaystyle \int_{-\infty}^{\infty} x_{\mathrm{e}}(t) x_{\mathrm{o}}(t) d t = 0\);
(b) \(\displaystyle \int_{-\infty}^{\infty} x(t) d t = \int_{-\infty}^{\infty} x_{\mathrm{e}}(t) d t\)。
3.15 证明:
(a) 如果函数 \(x\) 是 \(T\)-周期且偶函数,则
(b) 如果函数 \(x\) 是 \(T\)-周期且奇函数,则
3.16 证明,唯一既是偶函数又是奇函数的函数是零函数(即 \(x(t) = 0\) 对所有 \(t\) 都成立)。
3.17 对于下列情况,已知函数 \(x\) 具有给定性质,求 \(x(t)\) 对所有 \(t\) 的表达式。
(a) 函数 \(x\) 满足:
- \(x(t) = \begin{cases} t-1 & 1 \le t \le 2 \\ 3-t & 2 < t \le 3 \end{cases}\)
- 函数 \(v\) 是因果的,其中 \(v(t) = x(t-1)\);
- 函数 \(w\) 是奇函数,其中 \(w(t) = x(t+1)\)。
(b) 函数 \(x\) 满足:
- \(x(t) = t-1\) 对 \(0 \le t \le 1\);
- 函数 \(v\) 是因果的,其中 \(v(t) = x(t-1)\);
- 函数 \(w\) 是奇函数,其中 \(w(t) = x(t) + 1\)。
(c) 函数 \(x\) 满足:
- \(x\) 是因果的;
- 函数 \(x_{\mathrm{e}} = \operatorname{Even}(x)\) 已知为 \(x_{\mathrm{e}}(t) = t[u(t)-u(t-1)] + u(t-1)\) 对 \(t \ge 0\)。
(d) 函数 \(x\) 满足:
- 函数 \(v\) 是偶函数,其中 \(v(t) = x(t+1)\);
- 函数 \(w\) 是因果的,其中 \(w(t) = x(t-1)-1\);
- \(x(t) = -t\) 对 \(-1 \le t \le 1\)。
3.18 设 \(E x\) 表示函数 \(x\) 的能量,证明:
(a) \(E\{a x\} = a^2 E x\),其中 \(a\) 是实常数;
(b) \(E x' = E x\),其中 \(x'(t) = x(t-t_0)\) 且 \(t_0\) 是实常数;
(c) \(E x' = \frac{1}{|a|} E x\),其中 \(x'(t) = x(a t)\) 且 \(a \neq 0\) 为实常数。
3.19 证明,如果函数 \(x\) 是共轭对称的,则:
(a) \(\operatorname{Re} x(t) = \operatorname{Even} x(t)\) 对所有 \(t\) 成立;
(b) \(\operatorname{Im} x(t) = \frac{1}{j} \operatorname{Odd} x(t)\) 对所有 \(t\) 成立。
3.20 对下列积分表达式进行完全化简:
(a) \(\displaystyle \int_{-\infty}^{\infty} \sin \left(2 t + \frac{\pi}{4}\right) \delta(t) dt\);
(b) \(\displaystyle \int_{-\infty}^{t} \cos(\tau) \delta(\tau + \pi) d\tau\);
(c) \(\displaystyle \int_{-\infty}^{\infty} x(t) \delta(a t - b) dt\),其中 \(a \neq 0\);
(d) \(\displaystyle \int_{0}^{2} e^{j 2 t} \delta(t-1) dt\);
(e) \(\displaystyle \int_{-\infty}^{t} \delta(\tau) d\tau\);
(f) \(\displaystyle \int_{0}^{\infty} \tau^2 \cos(\tau) \delta(\tau + 42) d\tau\);
(g) \(\displaystyle \int_{t+1}^{\infty} (\tau^2 + 1) \delta(\tau - 3) d\tau\);
(h) \(\displaystyle \frac{1}{9} \int_{-\infty}^{\infty} (\tau + 6)^2 \delta(1 - \tau/3) d\tau\);
(i) \(\displaystyle \int_{t-2}^{t-1} (\tau - 1)^2 \delta(\tau - 3) d\tau\)。
3.21 假设我们有下图所示的函数 \(x\)。使用单位阶跃函数(unit-step functions)来找到一个在所有 \(t\) 上都有效的 \(x(t)\) 的单一表达式。

3.22 对下列给出的每个函数 \(x\),求一个 \(x\) 的单一表达式(即不涉及多个分段情况的表达式)。在 \(x\) 的表达式中,将类似的单位阶跃函数项组合在一起。
(a) \(x(t) = \begin{cases} -t-3 & -3 \le t < -2 \\ -1 & -2 \le t < -1 \\ t^3 & -1 \le t < 1 \\ 1 & 1 \le t < 2 \\ -t+3 & 2 \le t < 3 \\ 0 & \text{otherwise} \end{cases}\)
(b) \(x(t) = \begin{cases} -1 & t < -1 \\ t & -1 \le t < 1 \\ 1 & t \ge 1 \end{cases}\)
(c) \(x(t) = \begin{cases} 4t+4 & -1 \le t < -\frac{1}{2} \\ 4 t^2 & -\frac{1}{2} \le t < \frac{1}{2} \\ -4 t + 4 & \frac{1}{2} \le t < 1 \\ 0 & \text{otherwise} \end{cases}\)
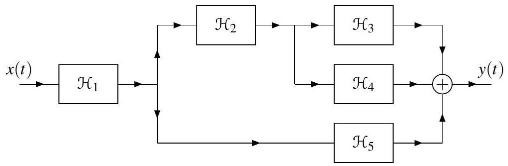
3.23 对下图所示的系统,用输入 \(x\) 以及变换 \(\mathcal{H}_{1}, \mathcal{H}_{2}, \ldots, \mathcal{H}_{5}\) 表示输出 \(y\)。

3.24 判断下列系统 \(\mathcal{H}\) 是否为无记忆系统(memoryless)。
(a) \(\mathcal{H} x(t)=\int_{-\infty}^{2 t} x(\tau) d \tau\);
(b) \(\mathcal{H} x(t)=\operatorname{Even}(x)(t)\);
(c) \(\mathcal{H} x(t)=x(t-1)+1\);
(d) \(\mathcal{H} x(t)=\int_{t}^{\infty} x(\tau) d \tau\);
(e) \(\mathcal{H} x(t)=\int_{-\infty}^{t} x(\tau) \delta(\tau) d \tau\);
(f) \(\mathcal{H} x(t)=t x(t)\);
(g) \(\mathcal{H} x(t)=\int_{-\infty}^{\infty} x(\tau) \delta(t-\tau) d \tau\)。
3.25 判断下列系统 \(\mathcal{H}\) 是否为因果系统(causal)。
(a) \(\mathcal{H} x(t)=\int_{-\infty}^{2 t} x(\tau) d \tau\);
(b) \(\mathcal{H} x(t)=\operatorname{Even}(x)(t)\);
(c) \(\mathcal{H} x(t)=x(t-1)+1\);
(d) \(\mathcal{H} x(t)=\int_{t}^{\infty} x(\tau) d \tau\);
(e) \(\mathcal{H} x(t)=\int_{-\infty}^{t} x(\tau) \delta(\tau) d \tau\);
(f) \(\mathcal{H} x(t)=\int_{-\infty}^{\infty} x(\tau) u(t-\tau) d \tau\)。
3.26 对下列系统 \(\mathcal{H}\),判断其是否可逆(invertible),若可逆,请给出其逆系统。
(a) \(\mathcal{H} x(t)=x(a t-b)\),其中 \(a\) 和 \(b\) 为实常数且 \(a \neq 0\);
(b) \(\mathcal{H} x(t)=e^{x(t)}\),其中 \(x\) 为实函数;
(c) \(\mathcal{H} x(t)=\operatorname{Even}(x)(t)-\operatorname{Odd}(x)(t)\);
(d) \(\mathcal{H} x(t)=\mathcal{D} x(t)\),其中 \(\mathcal{D}\) 表示求导算子;
(e) \(\mathcal{H} x(t)=x^{2}(t)\)。
3.27 判断下列系统 \(\mathcal{H}\) 是否 BIBO 稳定(BIBO stable)。
(a) \(\mathcal{H} x(t)=\int_{t}^{t+1} x(\tau) d \tau\) [提示:对于任意函数 \(f\),有 \(\left|\int_{a}^{b} f(x) dx\right| \leq \int_{a}^{b} |f(x)| dx\)];
(b) \(\mathcal{H} x(t)=\frac{1}{2} x^{2}(t)+x(t)\);
(c) \(\mathcal{H} x(t)=1 / x(t)\);
(d) \(\mathcal{H} x(t)=e^{-|t|} x(t)\);
(e) \(\mathcal{H} x(t)=\left(\frac{1}{t-1}\right) x(t)\)。
3.28 判断下列系统 \(\mathcal{H}\) 是否时不变(time invariant)。
(a) \(\mathcal{H} x(t)=\mathcal{D} x(t)\),其中 \(\mathcal{D}\) 表示求导算子;
(b) \(\mathcal{H} x(t)=\operatorname{Even}(x)(t)\);
(c) \(\mathcal{H} x(t)=\int_{t}^{t+1} x(\tau-\alpha) d \tau\),其中 \(\alpha\) 为常数;
(d) \(\mathcal{H} x(t)=\int_{-\infty}^{\infty} x(\tau) h(t-\tau) d \tau\),其中 \(h\) 为任意固定函数;
(e) \(\mathcal{H} x(t)=x(-t)\);
(f) \(\mathcal{H} x(t)=\int_{-\infty}^{2 t} x(\tau) d \tau\);
(g) \(\mathcal{H} x(t)=3 x(t-1)\)。
3.29 判断下列系统 \(\mathcal{H}\) 是否线性(linear)。
(a) \(\mathcal{H} x(t)=\int_{t-1}^{t+1} x(\tau) d \tau\);
(b) \(\mathcal{H} x(t)=e^{x(t)}\);
(c) \(\mathcal{H} x(t)=\operatorname{Even}(x)(t)\);
(d) \(\mathcal{H} x(t)=x^{2}(t)\);
(e) \(\mathcal{H} x(t)=\int_{-\infty}^{\infty} x(\tau) h(t-\tau) d \tau\),其中 \(h\) 为任意固定函数。
3.30 判断下列系统 \(\mathcal{H}\) 是否具有加性(additive)和/或齐次性(homogeneous)。
(a) \(\mathcal{H} x(t)=x^{*}(t)\);
(b) \(\mathcal{H} x(t)=\operatorname{Im}[x(t)]\)。
3.31 证明:若系统 \(\mathcal{H}\) 具有加性或齐次性,则对于恒为零的函数 \(x\)(即 \(x(t)=0\) 对所有 \(t\) 成立),输出 \(\mathcal{H} x\) 也恒为零(即 \(\mathcal{H} x(t)=0\) 对所有 \(t\) 成立)。
3.32 设 \(z\) 为恒为零的函数(即 \(z(t)=0\) 对所有 \(t\) 成立)。证明:线性系统 \(\mathcal{H}\) 可逆的充分必要条件是 \(\mathcal{H} x=z\) 蕴含 \(x=z\)(即唯一能产生输出 \(y=z\) 的输入 \(x\) 是 \(x=z\))。
3.33 对下列系统 \(\mathcal{H}\) 及函数 \(\left\{x_{k}\right\}\),判断每个 \(x_{k}\) 是否为 \(\mathcal{H}\) 的特征函数(eigenfunction),若是,请同时写出对应的特征值。
(a) \(\mathcal{H} x(t)=x^{2}(t)\),\(x_{1}(t)=a\),\(x_{2}(t)=e^{-a t}\),\(x_{3}(t)=\cos t\),其中 \(a\) 为复常数;
(b) \(\mathcal{H} x(t)=\mathcal{D} x(t)\),\(x_{1}(t)=e^{a t}\),\(x_{2}(t)=e^{a t^{2}}\),\(x_{3}(t)=42\),其中 \(\mathcal{D}\) 表示求导算子,\(a\) 为实常数;
(c) \(\mathcal{H} x(t)=\int_{t-1}^{t} x(\tau) d \tau\),\(x_{1}(t)=e^{a t}\),\(x_{2}(t)=t\),\(x_{3}(t)=\sin t\),其中 \(a\) 为非零复常数;
(d) \(\mathcal{H} x(t)=|x(t)|\),\(x_{1}(t)=a\),\(x_{2}(t)=t\),\(x_{3}(t)=t^{2}\),其中 \(a\) 为严格正实数。
3.9.2 带答案的练习¶
3.101 对于下列每种情况,函数 \(y\) 由函数 \(x\) 通过应用给定的(有序)变换序列生成(从 \(y\) 开始),将 \(y\) 用 \(x\) 表示。
(a) 时间平移 3;时间缩放 2;
(b) 时间缩放 2;时间平移 3。
简答:(a)\(y(t)=x(2 t-3)\);(b)\(y(t)=x(2 t-6)\)
3.102 对于下列每个函数 \(x\),判断 \(x\) 是否为周期函数,若是,求其基本周期 \(T\)。
(a) \(x(t)=3 \cos (\sqrt{2} t)+7 \cos (2 t)\);
(b) \(x(t)=[3 \cos (2 t)]^{3}\);
(c) \(x(t)=7 \cos (35 t+3)+5 \sin (15 t-2)\)。
简答:(a)非周期;(b)\(\pi\)-周期;(c)\(\frac{2 \pi}{5}\)-周期
3.103 对于下列每种情况,函数 \(x\)(实变量函数)具有所述性质,求 \(x(t)\) 对所有 \(t\) 的表达式。
(a) \(x\) 满足:
- \(x(t)=1-t\),当 \(0 \leq t \leq 1\);
- 函数 \(w\) 是偶函数,其中 \(w(t)=x(t+1)\);
- 函数 \(v\) 是因果函数,其中 \(v(t)=x(t)-1\)。
(b) \(x\) 满足:
- \(x(t)=e^{t+4}\),当 \(t<-4\);
- \(x(t)=a\),当 \(-4 \leq t \leq-2\),\(a\) 为实常数;
- 函数 \(v(t)=x(t-3)\) 是奇函数。
(c) \(x\) 满足:
- \(v(t)=x(t)+1\) 是因果函数;
- \(w(t)=x(-t)-1\) 是因果函数;
- \(x(0)=0\)。
(d) \(x\) 满足:
- \(x(t)=1\),当 \(2<t \leq 3\);
- \(v_{1}(t)=x(t+1)\) 是因果函数;
- \(v_{2}(t)=x(t+3)\) 是反因果函数;
- \(v_{3}(t)=x(t+2)\) 是奇函数。
(e) \(x\) 满足:
- \(x(t)=t-1\),当 \(1 \leq t \leq 2\);
- \(x\) 是因果函数;
- \(v_{1}(t)=x(t+2)\) 是反因果函数;
- \(v_{2}(t)=x(t+1)\) 是偶函数。
(f) \(x\) 满足:
- 偶函数部分 Even \(x(t)=t\),当 \(t \leq 0\);
- 奇函数部分 Odd \(x(t)=t^{2}\),当 \(t>0\)。
(g) \(x\) 满足:
- \(v(t)=x(t+2)\) 是共轭对称函数;
- \(x(t)=j[u(t-3)-u(t-5)]\),当 \(t \geq 2\)。
(h) \(x\) 满足:
- \(v(t)=x(t)-1\) 是因果函数;
- \(x\) 是奇函数。
(i) \(x\) 满足:
- \(\operatorname{Re} x(t)=t\),当 \(t \geq 0\);
- \(\operatorname{Im} x(t)=t^{2}\),当 \(t<0\);
- \(x\) 是共轭对称函数。
(j) \(x\) 满足:
- \(x(t)=2-t\),当 \(0 \leq t<1\);
- \(v(t)=x(t)-2\) 是因果函数;
- \(w(t)=x(t+1)\) 是奇函数。
(k) \(x\) 满足:
- \(v(t)=\operatorname{Odd}\{x\}(t)+1\) 是因果函数;
- \(w(t)=\operatorname{Even}\{x\}(t)-1\) 是因果函数;
- Even \(\{x\}(0)=2\)。
简答:
(a) \(x(t)= \begin{cases}1-t & 0 \leq t \leq 1 \\ t-1 & 1<t \leq 2 \\ 1 & \text { otherwise }\end{cases}\)
(b) \(x(t)= \begin{cases}e^{t+4} & t<-4 \\ 0 & -4 \leq t \leq-2 \\ -e^{-t-2} & t>-2\end{cases}\)
(c) \(x(t)=\operatorname{sgn}(t)\)
(d) \(x(t)= \begin{cases}-1 & 1 \leq t<2 \\ 1 & 2<t \leq 3 \\ 0 & \text { otherwise }\end{cases}\)
(e) \(x(t)= \begin{cases}1-t & 0 \leq t<1 \\ t-1 & 1 \leq t \leq 2 \\ 0 & \text { otherwise }\end{cases}\)
(f) \(x(t)=\left(t^{2}-t\right) \operatorname{sgn}(t)\)
(g) \(x(t)= \begin{cases}-j & -1<t \leq 1 \\ j & 3 \leq t<5 \\ 0 & \text { otherwise }\end{cases}\)
(h) \(x(t)=-\operatorname{sgn}(t)\)
(i) \(x(t)=\left(t-j t^{2}\right) \operatorname{sgn}(t)\)
(j) \(x(t)= \begin{cases}2 & t<0 \\ 2-t & 0 \leq t<1 \\ 0 & t=1 \\ -t & 1<t \leq 2 \\ -2 & t>2 \end{cases}\)
(k) \(x(t)=2 u(t)\)
3.104 判断下列函数 \(x\) 是否为偶函数、奇函数或既非偶也非奇。
(a) \(x(t)=e^{-|t|} \sin (t)\);
(b) \(x(t)=e^{-t^{2}} \cos (t)\)。
简答:(a)奇函数;(b)偶函数
3.105 化简下列各表达式:
(a) \(\frac{\left(\omega^{2}+1\right) \delta(\omega-1)}{\omega^{2}+9}\);
(b) \(\frac{\sin (k \omega) \delta(\omega)}{\omega}\);
(c) \(\int_{-\infty}^{\infty} e^{t-1} \cos \left[\frac{\pi}{2}(t-5)\right] \delta(t-3) d t\);
(d) \(\int_{-\infty}^{\infty} \delta(2 t-3) \sin (\pi t) d t\);
(e) \(\int_{t}^{\infty}\left(\tau^{2}+1\right) \delta(\tau-2) d \tau\);
(f) \(\int_{-4}^{4} e^{-\tau} \cos (\tau) \delta\left(\tau-\frac{\pi}{3}\right) d \tau+\int_{-2}^{2} \tau^{2} \cos (\tau) \delta(\tau-\pi) d \tau\);
(g) \(\left(t^{2}+1\right)^{4} e^{-t} \operatorname{sinc}(t) \delta(t-\pi)\)。
简答:(a)\(\frac{1}{5} \delta(\omega-1)\);(b)\(k \delta(\omega)\);(c)\(-e^{2}\);(d)\(-\frac{1}{2}\);(e)\(5 u(2-t)\);(f)\(\frac{1}{2} e^{-\pi / 3}\);(g)0
3.106 对下列函数 \(x\),求一个单一表达式(不使用多重分段),若 \(x\) 由有限项组成,将类似单位阶跃函数项合并。
(a) \(x(t)=1-t^{2}\),当 \(-1 \leq t<1\) 且 \(x(t)=x(t-2)\) 对所有 \(t\) 成立;
(b) \(x(t)= \begin{cases}-e^{t+1} & t<-1 \\ t & -1 \leq t<1 \\ (t-2)^{2} & 1 \leq t<2 \\ 0 & \text { otherwise }\end{cases}\);
(c) \(x(t)= \begin{cases}(t / \pi+1)^{2} & t<-\pi \\ \cos (t / 2) & -\pi \leq t \leq \pi \\ (t / \pi-1)^{2} & t>\pi \end{cases}\);
(d) \(x(t)= \begin{cases}t+2 & -2 \leq t<-1 \\ t^{2} & -1 \leq t \leq 1 \\ 1 & t>1 \\ 0 & \text { otherwise }\end{cases}\)。
简答:
(a) \(x(t)=\sum_{k=-\infty}^{\infty}\left(-t^{2}+4 k t-4 k^{2}+1\right)[u(t-2 k+1)-u(t-2 k-1)]\)
(b) \(x(t)=-e^{t+1}+\left(t+e^{t+1}\right) u(t+1)+(t-1)(t-4) u(t-1)-(t-2)^{2} u(t-2)\)
(c) \(x(t)=(t / \pi+1)^{2}+\left[\cos (t / 2)-(t / \pi+1)^{2}\right] u(t+\pi)+\left[(t / \pi-1)^{2}-\cos (t / 2)\right] u(t-\pi)\)
(d) \(x(t)=(t+2) u(t+2)+\left[t^{2}-t-2\right] u(t+1)+\left[1-t^{2}\right] u(t-1)\)
3.107 判断下列系统 \(\mathcal{H}\) 是否为无记忆系统(memoryless)。
(a) \(\mathcal{H} x(t)=u[x(t)]\);
(b) \(\mathcal{H} x(t)=x[u(t)]\);
(c) \(\mathcal{H} x(t)=42\);
(d) \(\mathcal{H} x(t)=x\left(t^{2}\right)\);
(e) \(\mathcal{H} x(t)=\int_{-\infty}^{\infty} 2 x(\tau) \delta(\tau-t) d \tau\);
(f) \(\mathcal{H} x(t)=[x(t+1)]^{-1}\);
(g) \(\mathcal{H} x(t)=x(-t)\);
(h) \(\mathcal{H} x(t)=\int_{-\infty}^{\infty} x(\tau) u(\tau-t-2) d \tau\)。
简答:(a)无记忆;(b)有记忆;(c)无记忆;(d)有记忆;(e)无记忆;(f)有记忆;(g)有记忆;(h)有记忆
3.108 判断下列系统 \(\mathcal{H}\) 是否为因果系统(causal)。
(a) \(\mathcal{H} x(t)=x(a t)\),其中 \(a\) 为非零实常数;
(b) \(\mathcal{H} x(t)=t u(t) x(t)\);
(c) \(\mathcal{H} x(t)=x(t-a)\),其中 \(a\) 为严格负实常数;
(d) \(\mathcal{H} x(t)=[x(t+1)]^{-1}\);
(e) \(\mathcal{H} x(t)=x(-t)\);
(f) \(\mathcal{H} x(t)=\int_{-\infty}^{\infty} x(\tau) u(t-\tau-1) d \tau\);
(g) \(\mathcal{H} x(t)=\int_{-\infty}^{\infty} x(\tau) u(\tau-t-3) d \tau\)。
简答:(a)当且仅当 \(a=1\) 时因果;(b)因果;(c)非因果;(d)非因果;(e)非因果;(f)因果;(g)非因果
3.109 判断下列系统 \(\mathcal{H}\) 是否可逆。
(a) \(\mathcal{H} x(t)=\cos [x(t)]\);
(b) \(\mathcal{H} x(t)=x * x(t)\),其中 \(f * g(t)=\int_{-\infty}^{\infty} f(\tau) g(t-\tau) d \tau\);
(c) \(\mathcal{H} x(t)=\operatorname{Even} x(t)\);
(d) \(\mathcal{H} x(t)=\operatorname{Re} x(t)\);
(e) \(\mathcal{H} x(t)=|x(t)|\);
(f) \(\mathcal{H} x(t)=2 x(t)+3\);
(g) \(\mathcal{H} x(t)=x(t)+x(t-1)\);
(h) \(\mathcal{H} x(t)=2 \operatorname{Even}\{x\}(t)-\operatorname{Odd}\{x\}(t)\);
(i) \(\mathcal{H} x(t)=a x(t)+b\),其中 \(a\) 和 \(b\) 为实常数。
简答:(a)不可逆;(b)不可逆;(c)不可逆;(d)不可逆;(e)不可逆;(f)可逆;(g)不可逆;(h)可逆;(i)当且仅当 \(a \neq 0\) 时可逆
3.110 判断下列系统 \(\mathcal{H}\) 是否 BIBO 稳定。
(a) \(\mathcal{H} x(t)=u(t) x(t)\);
(b) \(\mathcal{H} x(t)=\ln x(t)\);
(c) \(\mathcal{H} x(t)=e^{x(t)}\);
(d) \(\mathcal{H} x(t)=e^{t} x(t)\);
(e) \(\mathcal{H} x(t)=\cos [x(t)]\);
(f) \(\mathcal{H} x(t)=x * x(t)\);
(g) \(\mathcal{H} x(t)=3 x(3 t+3)\);
(h) \(\mathcal{H} x(t)=2 x(t)+1\);
(i) \(\mathcal{H} x(t)=\sum_{k=0}^{\infty} x^{k}(t)\)。
简答:(a)BIBO 稳定;(b)不 BIBO 稳定;(c)BIBO 稳定;(d)不 BIBO 稳定;(e)BIBO 稳定(若 \(x\) 为实值或复值);(f)不 BIBO 稳定;(g)BIBO 稳定;(h)BIBO 稳定;(i)不 BIBO 稳定
3.111 判断下列系统 \(\mathcal{H}\) 是否时不变。
(a) \(\mathcal{H} x(t)=\int_{-4}^{4} x(\tau) d \tau\);
(b) \(\mathcal{H} x(t)=\mathcal{D}\left\{x^{2}\right\}(t)\);
(c) \(\mathcal{H} x(t)=t u(t) x(t)\);
(d) \(\mathcal{H} x(t)=\int_{-\infty}^{\infty} x(\tau) x(t-\tau) d \tau\);
(e) \(\mathcal{H} x(t)=3 x(3 t+3)\);
(f) \(\mathcal{H} x(t)=x(t)+x(t-1)\);
(g) \(\mathcal{H} x(t)=e^{t} x(t)\)。
简答:(a)非时不变;(b)时不变;(c)非时不变;(d)非时不变;(e)非时不变;(f)时不变;(g)非时不变
3.112 判断下列系统 \(\mathcal{H}\) 是否线性。
(a) \(\mathcal{H} x(t)=\frac{1}{3}[x(t)-2]\);
(b) \(\mathcal{H} x(t)=\mathcal{D} x(t)\);
(c) \(\mathcal{H} x(t)=t u(t) x(t)\);
(d) \(\mathcal{H} x(t)=\int_{-\infty}^{\infty} x(\tau) x(t-\tau) d \tau\);
(e) \(\mathcal{H} x(t)=t^{2} \mathcal{D}^{2} x(t)+t \mathcal{D} x(t)\);
(f) \(\mathcal{H} x(t)=3 x(3 t+3)\);
(g) \(\mathcal{H} x(t)=\int_{-1}^{1} x(\tau) d \tau\);
(h) \(\mathcal{H} x(t)=|t| x(t)\);
(i) \(\mathcal{H} x(t)=(t+1)^{2} x(t)\);
(j) \(\mathcal{H} x(t)=42\);
(k) \(\mathcal{H} x(t)=0\);
(l) \(\mathcal{H} x(t)=[x(t)]^{-1}\)。
简答:(a)非线性;(b)线性;(c)线性;(d)非线性;(e)线性;(f)线性;(g)线性;(h)线性;(i)线性;(j)非线性;(k)线性;(l)非线性
3.113 判断下列系统 \(\mathcal{H}\) 是否可加(additive)和/或齐次(homogeneous)。
(a) \(\mathcal{H} x(t)=\frac{x^{2}(t)}{\mathcal{D} x(t)}\),其中 \(\mathcal{D}\) 表示求导算子。
简答:(a)齐次但不可加
3.114 对于下列系统 \(\mathcal{H}\) 及函数集合 \(\{x_k\}\),判断每个 \(x_k\) 是否是 \(\mathcal{H}\) 的本征函数(eigenfunction),若是,说明对应的本征值(eigenvalue)。
(a) \(\mathcal{H} x(t)=\mathcal{D}^{2} x(t)\),\(x_{1}(t)=\cos t, x_{2}(t)=\sin t, x_{3}(t)=42\);
(b) \(\mathcal{H} x(t)=\int_{-\infty}^{t} x(\tau) d \tau\),\(x_{1}(t)=e^{2 t}, x_{2}(t)=e^{t} u(-t)\);
(c) \(\mathcal{H} x(t)=t^{2} \mathcal{D}^{2} x(t)+t \mathcal{D} x(t)\),\(x_{1}(t)=t^{k}\),\(k \ge 2\) 为整数;
(d) \(\mathcal{H} x(t)=u(t) x(t)\),\(x_{1}(t)=0, x_{2}(t)=1, x_{3}(t)=u(t+1), x_{4}(t)=u(t-1)\);
(e) \(\mathcal{H} x(t)=t \mathcal{D} x(t)\),\(x_{1}(t)=3 t^{2}, x_{2}(t)=\pi\)。
简答:
(a) \(x_{1}\) 是本征函数,本征值 \(-1\);\(x_{2}\) 是本征函数,本征值 \(-1\);\(x_{3}\) 是本征函数,本征值 \(0\);
(b) \(x_{1}\) 是本征函数,本征值 \(\frac{1}{2}\);\(x_{2}\) 不是本征函数;
(c) \(x_{1}\) 是本征函数,本征值 \(k^{2}\);
(d) \(x_{1}\) 是本征函数,本征值 \(0\);\(x_{2}\) 不是本征函数;\(x_{3}\) 不是本征函数;\(x_{4}\) 是本征函数,本征值 \(1\);
(e) \(x_{1}\) 是本征函数,本征值 \(2\);\(x_{2}\) 是本征函数,本征值 \(0\)
3.9.3 MATLAB 练习¶
3.201 对下列数学函数 \(f\),编写一个 MATLAB 函数(自拟函数名),输入一个 \(m \times n\) 矩阵 \(t\),返回同尺寸矩阵 \(x\),使得 \(x_{i,j}=f(t_{i,j})\)。MATLAB 函数不得使用条件语句(如 if)或循环结构(如 for 或 while)。
(a) \(f(t)=\left(\frac{t^{2}-1}{t^{2}+1}\right) e^{-|t / 10|} \cos \left(\frac{t}{2 \pi}\right)\)
(b) \(f(t)=\left(t^{2}+1\right)^{-1}+t e^{-|t|} \sin (2 t)\)
(c) \(f(t)= \begin{cases}\frac{1}{2} & 0 \leq \sin (t)<\frac{1}{\sqrt{2}} \\ 1 & \sin (t)>\frac{1}{\sqrt{2}} \\ 0 & \text { otherwise }\end{cases}\)
(d) \(f(t)=\operatorname{rect}(t)\)
(e) \(f(t)=\operatorname{tri}(t / 2)= \begin{cases}1-|t| & -1 \leq t \leq 1 \\ 0 & \text { otherwise }\end{cases}\)
(f) \(f(t)= \begin{cases}e^{t} & t<0 \\ 1 & 0 \leq t<1 \\ e^{1-t} & t \geq 1\end{cases}\)
(g) \(f(t)= \begin{cases}|\sin (\pi t)| & |t| \leq 1 \\ |t|-1 & 1<|t| \leq 2 \\ 1 & \text { otherwise }\end{cases}\)
(h) \(f(t)= \begin{cases}0 & t<0 \\ \frac{1}{2} & t=0 \\ 1 & t>0 \end{cases}\)
(i) \(f(t)= \begin{cases}t^{-2} & t \geq 1 \\ 0 & \text { otherwise }\end{cases}\)
[提示:注意避免除以零。]
3.202 编写一个 MATLAB 函数(自拟函数名),输入一个单变量函数 \(x\),返回函数 \(y\),如下所示:
(a) \(y=\operatorname{Even}(x)\);
(b) \(y=\operatorname{Odd}(x)\);
(c) \(y(t)=x(-t)\);
(d) \(y(t)= \begin{cases}x(t) & x(t) \geq 0 \\ 0 & \text { otherwise }\end{cases}\)
[提示:使用匿名函数。]
3.203 编写一个名为 plot_even_odd_parts 的函数,输入参数 func 和 range,其中 func 是一个函数,range 为包含上下界的二元素向量。该函数应在 3×1 网格中绘制函数 func 及其偶函数和奇函数部分。使用 fplot 进行绘图。例如,调用 plot_even_odd_parts(@exp, [-4 4]) 会绘制指数函数及其偶、奇部分,如下图所示:
